DEPARTMENT OF HEALTH AND SOCIAL SERVICES
Division of Public Health
FINAL
ORDER
Delaware Radiation Control Regulations:
4465 Part A General Provisions
4465 Part B Registration of Radiation Source Facilities and Services
4466 Radiation Technologists/Technicians (Certification)
NATURE OF THE PROCEEDINGS:
Delaware Health and Social Services ("DHSS") initiated proceedings to amend the State of Delaware Regulations Governing Radiation Control. The DHSS proceedings to amend regulations were initiated pursuant to 29 Del.C. §101 and authority as prescribed by 16 Del.C. §7405. The regulations amended are shown in the table below.
|
DE Admin Code No.
|
Current Delaware Citation
|
Title
|
|
4465
|
Part A
|
General Provisions
|
|
4465
|
Part B
|
Registration of Radiation Source Facilities & Service Providers
|
|
4466
|
|
Radiation Technologists/Technicians (Certification)
|
On February 1, 2014 (Volume 17, Issue 8), DHSS published in the Delaware Register of Regulations its notice of proposed regulations, pursuant to 29 Del.C. §10115. It requested that written materials and suggestions from the public concerning the proposed regulations be delivered to DHSS by March 7, 2014, or be presented at a public hearing on February 24, 2014, after which time the DHSS would review information, factual evidence and public comment to the said proposed regulations.
No written comments were received during the public comment period. Therefore, no evaluation or summarization of comments is presented in the accompanying "Summary of Evidence."
SUMMARY OF EVIDENCE
In accordance with Delaware Law, public notices regarding proposed Department of Health and Social Services (DHSS) Regulations Governing Radiation Control were published in the Delaware State News, the News Journal and the Delaware Register of Regulations.
The public comment period was open from February 1, 2014 through March 7, 2014. No comments were received on the proposed regulations during the public comment period and no changes have been made to the proposed regulations.
The regulation has been reviewed by the Delaware Attorney General's office and approved by the Cabinet Secretary of DHSS.
FINDINGS OF FACT:
There were no public comments received. The Department finds that the proposed regulations, as set forth in the attached copy should be adopted in the best interest of the general public of the State of Delaware.
THEREFORE, IT IS ORDERED, that the proposed State of Delaware Regulations Governing Radiation Control are adopted and shall become effective May 11, 2014, after publication of the final regulation in the Delaware Register of Regulations.
Rita M. Landgraf, Secretary
4400 Health Systems Protection
4480 General Provisions
[Previously Referenced as Part A]
Except as otherwise specifically provided, the regulations apply to all persons who receive, possess, use, transfer, own, or acquire any source of radiation; provided, however, that nothing in the regulations except for registration of radiation machine facilities/sources as specified in Regulation 481 shall apply to any person to the extent such person is subject to regulation by the Nuclear Regulatory Commission.
As used in the regulations, these terms have the definitions set forth below.
“A1” means the maximum activity of special form radioactive material permitted in a Type A package.
“A2” means the maximum activity of radioactive material, other than special form radioactive material, permitted in a Type A package.
“Absorbed dose (D)” means the energy deposited by ionizing radiation per unit mass (of any material). The conventional unit of absorbed dose is the rad. One rad is equal to 0.01 J/kg. The International Standard (SI) unit of absorbed dose is the gray (Gy) (1 Gy = 100 rad).
“Absorbed dose rate” means absorbed dose per unit time, for machines with timers, or dose monitor unit per unit time for linear accelerators.
“Accelerator” means any machine capable of accelerating electrons, protons, deuterons, or other charged particles in a vacuum and of discharging the resultant particulate or other radiation into a medium at energies usually in excess of 1 MeV. For purposes of this definition, "particle accelerator" is an equivalent term.
“Accelerator-produced material” means any material made radioactive by a particle accelerator.
“Accessible surface diagnostic” means the external surface of the enclosure or housing of the radiation producing machine as provided by the manufacturer.
“Accessible surface therapy” means surface of equipment or of an equipment part that can be easily or accidentally touched by persons without the use of a tool.
“Act” means Del.C. Title 16, Chapter 74, Radiation Control.
“Activity” means the rate of disintegration or transformation or decay of radioactive material. The units of activity are the becquerel (Bq) and the curie (Ci).
“Added filtration diagnostic” means any filtration which is in addition to the inherent filtration.
“Added filtration therapy” means any filtration placed in the path of the useful beam in addition to the inherent filtration.
“Address of use” means the building or buildings that are identified on the permit (license) and where radioactive material may be produced, prepared, received, used, or stored.
“Adult” means an individual 18 or more years of age Agency means the Administrative Agent for the Authority on Radiation Protection, i.e., the Office of Radiation Control, Division of Public Health, Delaware Health and Social Services.
“Agreement State” means any State with which the U.S. Nuclear Regulatory Commission or the Atomic Energy Commission has entered into an effective agreement under subsection 274b. of the Atomic Energy Act of 1954, as amended (73 Statute 689). Delaware is not an agreement state.
“Air Kerma” means the kinetic energy released by ionizing radiation per unit mass of air. This unit is the gray. The air kerma in gray (mGy) is equivalent to exposure in roentgen (R) multiplied by 8.37 E+2.
“Airborne radioactive material” means any radioactive material dispersed in the air in the form of dusts, fumes, particulates, mists, vapors, or gases.
“Airborne radioactivity area” means a room, enclosure, or area in which airborne radioactive materials exist in concentrations:
(1) In excess of the derived air concentrations (DACs) specified in Appendix B, Table I of regulation 483; or
(2) To such a degree that an individual present in the area without respiratory protective equipment could exceed, during the hours an individual is present in a week, an intake of 0.6 percent of the annual limit on intake (ALI) or 12 DAC-hours.
“ALARA or As low as is reasonably achievable” means making every reasonable effort to maintain exposures to radiation as far below the dose limits in the regulations as is practical, consistent with the purpose for which the licensed or registered activity is undertaken, taking into account the state of technology, the economics of improvements in relation to state of technology, the economics of improvements in relation to benefits to the public health and safety, and other societal and socioeconomic considerations, and in relation to utilization of nuclear energy and licensed or registered sources of radiation in the public interest.
“ALI or Annual limit on intake” means the derived limit for the amount of radioactive material taken into the body of an adult worker by inhalation or ingestion in a year. ALI is the smaller value of intake of a given radionuclide in a year by the reference man that would result in a committed effective equivalent dose (H) of 0.05 Sv (5 rem) or a committed equivalent dose (H) of 0.5 Sv (50 rem) to any individual organ or tissue. ALI values for intake by ingestion and by inhalation of selected radionuclides are given in Table I, Columns 1 and 2, of Appendix B of Regulation 483.
“Aluminum equivalent” means the thickness of type 1100 aluminum alloy affording the same attenuation, under specified conditions, as the material in question.
“Analytical x-ray equipment” means equipment used for x-ray diffraction or fluorescence analysis.
“Analytical x-ray system” means a group of components utilizing x- or gamma-rays to determine the elemental composition or to examine the microstructure of materials.
“Area of use” means a portion of a physical structure that has been set aside for the purpose of producing, preparing, receiving, using, or storing radioactive material.
“Applicant” means a person seeking a certificate, license or registration issued under the provisions of the Act and the requirements of the regulations.
“Assembler” means any person engaged in the business of assembling, replacing, or installing one or more components into an x-ray system or subsystem. The term includes the owner of an x-ray system or his or her employee or agent who assembles components into an x-ray system that is subsequently used to provide professional or commercial services.
“Attenuation block” means a block or stack, having dimensions 20 centimeters by 20 centimeters by 3.8 centimeters, of type 1100 aluminum alloy or other materials having equivalent attenuation.
“Authority” means the Authority on Radiation Protection created by Del.C. Title 16 §7404.
“Authorized user” means a practitioner of the healing arts who is identified as an authorized user on an Agency, Agreement State, Licensing State or the Nuclear Regulatory Commission license that authorizes the medical use of radioactive material.
“AEC or Automatic exposure control” means a device which automatically controls one or more technique factors in order to obtain at a preselected location(s) a required quantity of radiation (Includes devices such as phototimers and ion chambers).
“Background radiation” means radiation from cosmic sources; naturally occurring radioactive materials, including radon, except as a decay product of source or special nuclear material, and including global fallout as it exists in the environment from the testing of nuclear explosive devices. "Background radiation" does not include sources of radiation from radioactive materials regulated by the Agency.
“Barrier” (See "Protective barrier").
“Beam axis diagnostic” means a line from the source through the centers of the x-ray fields.
“Beam axis therapy” means the axis of rotation of the beam limiting device.
“Beam-limiting device (collimator)” means a device to restrict the dimensions of the x- ray field.
“Beam-limiting device therapeutic” means a field defining collimator, integral to the therapeutic radiation machine, which provides a means to restrict the dimensions of the useful beam.
“Beam monitoring system” means a system designed and installed in the radiation head to detect and measure the radiation present in the useful beam.
“Beam scattering foil” means a thin piece of material (usually metallic) placed in the beam to scatter a beam of electrons in order to provide a more uniform electron distribution in the useful beam.
“Becquerel” (Bq) means the SI unit of activity. One becquerel is equal to 1 disintegration or transformation per second (dps or tps).
“Bent beam linear accelerator” means a linear accelerator geometry in which the accelerated electron beam must change direction by passing through a bending magnet.
“Bioassay” means the determination of kinds, quantities or concentrations, and, in some cases, the locations of radioactive material in the human body, whether by direct measurement, in vivo counting, or by analysis and evaluation of materials excreted or removed from the human body. For purposes of the regulations, "radiobioassay" is an equivalent term.
“Brachytherapy” means a method of radiation therapy in which sealed sources are utilized to deliver a radiation dose at a distance of up to a few centimeters, by surface, intracavitary, or interstitial application.
“Byproduct material” means:
(1) Any radioactive material, except special nuclear material, yielded in or made radioactive by exposure to the radiation incident to the process of producing or utilizing special nuclear material; and
(2) The tailings or wastes produced by the extraction or concentration of uranium or thorium from ore processed primarily for its source material content, including discrete surface wastes resulting from uranium or thorium solution extraction processes. Underground ore bodies depleted by these solution extraction operations do not constitute "byproduct material" within this definition.
“C-arm x-ray system” means an x-ray system in which the image receptor and x-ray tube housing assembly are connected by a common mechanical support system in order to maintain a desired spatial relationship. This system is designed to allow a change in the projection of the beam through the patient without a change in the position of the patient.
“Cabinet radiography” means industrial radiography conducted in an enclosure or cabinet shielded so that radiation levels at every location on the exterior meet the limitations specified in Regulation 483, section 14.0.
“Cabinet x-ray system” means an x-ray system with the x-ray tube installed in an enclosure independent of existing architectural structures except the floor on which it may be placed. The cabinet x-ray system is intended to contain at least that portion of a material being irradiated, provide radiation attenuation, and exclude personnel from its interior during generation of radiation. Included are all x-ray systems designed primarily for the inspection of carry-on baggage at airline, railroad, and bus terminals, and in similar facilities. An x-ray tube used within a shielded part of a building, or x-ray equipment which may temporarily or occasionally incorporate portable shielding, is not considered a cabinet x-ray system.
“Calendar quarter" means not less than 12 consecutive weeks nor more than 14 consecutive weeks. The first calendar quarter of each year shall begin in January and subsequent calendar quarters shall be so arranged such that no day is included in more than one calendar quarter and no day in any one year is omitted from inclusion within a calendar quarter. The method observed by the licensee or registrant for determining calendar quarters shall only be changed at the beginning of a year.
“Calibration” means the determination of (1) the response or reading of an instrument relative to a series of known radiation values over the range of the instrument, or (2) the strength of a source of radiation relative to a standard.
“Cephalometric device” means a device intended for the radiographic visualization and measurement of the dimensions of the human head.
“Certificate” is an official document issued by the Agency which authorizes a person to perform a specified radiation activity.
“Certified cabinet x-ray system” means an x-ray system which has been certified in accordance with 21 CFR 1010.2 as being manufactured and assembled pursuant to the provisions of 21 CFR 1020.40.
“Certified components” means components of x-ray systems which are subject to regulations promulgated under Public Law 90-602, the Radiation Control for Health and Safety Act of 1968, the Food and Drug Administration.
“Certified system” means any x-ray system which has one or more certified component(s).
“CFR” means Code of Federal Regulations.
“Changeable filters” means any filter, exclusive of inherent filtration, which can be removed from the useful beam through any electronic, mechanical, or physical process.
“Chelating agent” means an organic compound which is capable of complexing either metal ions and/or metal atoms.
“Class” means a classification scheme for inhaled material according to its rate of clearance from the pulmonary region of the lung. Materials are classified as D, W, or Y, which applies to a range of clearance half-times: for Class D, Days, of less than 10 days, for Class W, Weeks, from 10 to 100 days, and for Class Y, Years, of greater than 100 days. For purposes of the regulations, "lung class" and "inhalation class" are equivalent terms.
“C or Coulumb” means the SI unit of electric charge.
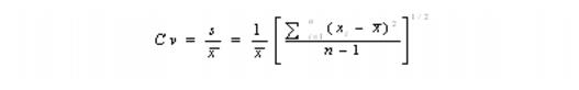
“Cv or Coefficient of variation” means the ratio of the standard deviation to the mean value of a set of observations. It is estimated using the following equation:

where:
s = Standard deviation of the observed values;
x = Mean value of observations in sample;
xi = ith observation in sample;
n = Number of observations in sample.
“Collective dose” means the sum of the individual doses received in a given period of time by a specified population from exposure to a specified source of radiation.
“Collimator” means a device used to limit the radiation field. Beam-limiting devices are specific types of collimators.
“Committed equivalent dose” (HT,50) means the equivalent dose (H) to organs or tissues of reference (T) that will be received from an intake of radioactive material by an individual during the 50-year period following the intake.
“Committed effective equivalent dose” (HE, 50) is the sum of the products of the weighting factors (wT) applicable to each of the body organs or tissues that are irradiated and the committed dose equivalent dose (H) to each of these organs or tissues (HE,50 = wT HT,50).
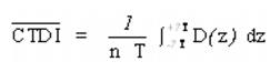
“Computed tomography dose index” means the integral from -7T to +7T of the dose profile along a line perpendicular to the tomographic plane divided by the product of the nominal tomographic section thickness and the number of tomograms produced in a single scan, that is:

where:
z =Position along a line perpendicular to the tomographic plane;
D(z)=Dose at position z;
T =Nominal tomographic section thickness;
n =Number of tomograms produced in a single scan.
This definition assumes that the dose profile is centered around z=0 and that, for a multiple tomogram system, the scan increment between adjacent scans is nT.
“Contact therapy system” means a therapeutic radiation machine with a short target to skin distance (TSD), usually less than 5 centimeters.
“Control panel” means that part of the x-ray control upon which are mounted the switches, knobs, pushbuttons, and other hardware necessary for manually setting the technique factors.
“Cooling curve” means the graphical relationship between heat units stored and cooling time.
“CT conditions of operation” means all selectable parameters governing the operation of a CT x-ray system including, but not limited to, nominal tomographic section thickness, filtration, and the technique factors as defined in Regulation 485, Section 2.
“CTDI” (See "Computed tomography dose index").
“CT or Computed tomography” means the production of a cross-sectional image through the acquisition and computer processing of a tomogram.
“CT gantry” means the tube housing assemblies, beam-limiting devices, detectors, and the supporting structures and frames which hold these components.
“CTN” (See "CT number").
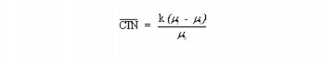
“CT Number” means the number used to represent the x-ray attenuation associated with each elemental area of the CT image.

where:
k k = A constant, a normal value of 1,000 when the Houndsfield scale of CTN is used;
µx = Linear attenuation coefficient of the material of interest;
µw =Linear attenuation coefficient of water.
“Curie” means a unit of quantity of activity. One curie (Ci) is that quantity of radioactive material which decays at the rate of 3.7E+10 disintegrations or transformations per second (dps or tps).
“Dead-man switch” means a switch so constructed that a circuit closing contact can be maintained only by continuous pressure on the switch by the operator.
“Declared pregnant woman” means a woman who has voluntarily informed her employer, in writing, of her pregnancy and the estimated date of conception.
“Dedicated check source” means a radioactive source that is used to assure the constant operation of a radiation detection or measurement device over several months or years. This source may also be used for other purposes.
“Deep equivalent dose” (Hd), which applies to external whole body exposure, means the equivalent dose (H) at a tissue depth of 1 centimeter (1000 mg/cm2).
“Department of Energy” means the Department of Energy established by Public Law 95-91, August 4, 1977, 91 Stat. 565, 42 U.S.C. 7101 et seq., to the extent that the Department exercises functions formerly vested in the Atomic Energy Commission, its Chairman, members, officers and components and transferred to the Energy Research and Development Administration and to the Administrator thereof pursuant to sections 104(b), (c) and (d) of the Energy Reorganization Act of 1974 (Public Law 93-438, October 11, 1974, 88 Stat. 1233 at 1237, 42 U.S.C. 5814, effective January 19, 1975) and retransferred to the Secretary of Energy pursuant to section 301(a) of the Department of Energy Organization Act (Public Law 95-91, August 4, 1977, 91 Stat. 565 at 577-578, 42 U.S.C. 7151, effective October 1, 1977.)
“Depleted uranium” means the source material uranium in which the isotope uranium-235 is less than 0.711 weight percent of the total uranium present. Depleted uranium does not include special nuclear material.
“DAC” or “Derived air concentration” means the concentration of a given radionuclide in air which, if breathed by the reference man for a working year of 2,000 hours under conditions of light work, results in an intake of one ALI. For purposes of the regulations, the condition of light work is an inhalation rate of 1.2 cubic meters of air per hour for 2,000 hours in a year. DAC values are given in Table I, Column 3, of Appendix B of Regulation 483.
“DAC hour or Derived air concentration-hour” means the product of the concentration of radioactive material in air, expressed as a fraction or multiple of the derived air concentration for each radionuclide, and the time of exposure to that radionuclide, in hours. A licensee or registrant may take 2,000 DAC-hours to represent one ALI, equivalent to a committed effective equivalent dose (H) of 0.05 Sv (5 rem).
“Detector” (See "Radiation detector").
“Diagnostic clinical procedures manual” means a collection of written procedures that describes each method (and other instructions and precautions) by which the licensee performs diagnostic clinical procedures; where each diagnostic clinical procedure has been approved by the authorized user and includes the radiopharmaceutical, dosage, and route of administration.
“Diagnostic source assembly” means the tube housing assembly with a beam-limiting device attached.
“Diagnostic x-ray system” means an x-ray system designed for irradiation of any part of the human or animal body for the purpose of diagnosis or visualization.
“Diagnostic x-ray imaging system” means an assemblage of components for the generation, emission and reception of x-rays and the transformation, storage and visual display of the resultant x-ray image.
“Direct scattered radiation” means that scattered radiation which has been deviated in direction only by materials irradiated by the useful beam (See "Scattered radiation").
“Direct Supervision” means the physical presence of the supervisor and is used for purposes of instruction.
“Dose” is a generic term that means absorbed dose, equivalent dose (HT), effective equivalent dose (HE), committed equivalent dose (HT,50), committed effective equivalent dose (HE,50), total organ equivalent dose (TOED), or total effective equivalent dose (TEED). For purposes of the regulations, "radiation dose" is an equivalent term.
“Dose equivalent” see Equivalent dose (HT).
“Dose limits” means the permissible upper bounds of radiation doses established in accordance with the regulations. For purposes of the regulations, "limits" is an equivalent term.
“Dose monitor unit (DMU)” means a unit response from the beam monitoring system from which the absorbed dose can be calculated.
“Dose profile diagnostic” means dose as a function of position in any direction perpendicular to the beam axis.
“Dose profile CT” means the dose as a function of position along a line.
“Dosimetry processor” means an individual or an organization that processes and evaluates individual monitoring devices in order to determine the radiation dose delivered to the monitoring devices.
“Effective equivalent dose (HE)” means the sum of the products of the equivalent dose (H) for each organ or tissue and the tissue weighting factor (wT)
.
The unit of effective dose equivalent is the Sievert. See Appendix C of Regulation 485, (formerly referenced as Part F) for a table of tissue weighting factors.
“Elemental area” means the smallest area within a tomogram for which the x-ray attenuation properties of a body are depicted. (See also "Picture element").
“Embryo/fetus” means the developing human organism from conception until the time of birth.
“Entrance exposure rate” means the exposure free in air per unit time at the point where the center of the useful beam enters the patient.
“Entrance Skin Exposure (ESE)” means the calculated amount of exposure at the skin of the patient for a selected x-ray projection or x-ray exam.
“Entrance or access point” means any opening through which an individual or extremity of an individual could gain access to radiation areas or to licensed or registered radioactive materials. This includes entry or exit portals of sufficient size to permit human entry, irrespective of their intended use.
“Equipment” (See "X-ray equipment").
“Equivalent Dose (HT)” means the product of the absorbed dose (D) and the radiation weighting factor (WR), formerly called the quality factor (Q): HT = WR · D. The unit of equivalent dose is the Sievert (Sv). See Appendix C of Part F for a table of radiation weighting factors (WR).
“Exemption” means an exclusion may be granted from a regulatory requirement by the Agency or the Authority. When the exclusion is based on a national standard or similar documented and publicly available information, the Agency may grant it. Otherwise, the exemption shall be referred to the Authority for consideration.
"E" or “Exponential” means 10 raised (E + x) or lowered (E - x) to the specified order of magnitude (x); e.g., where x = 4: E + 4 = 104 or 10,000; whereas E - 4 = 10-4 or 0.0001.
“Explosive material” means any chemical compound, mixture, or device which produces a substantial instantaneous release of gas and heat spontaneously or by contact with sparks or flame.
“Exposure” means the amount of charge (i.e., the concentration of ions of one sign) produced by ionizing radiation per unit mass of air. The SI unit of exposure is coulombs per kilogram (C/kg). The traditional unit is the Roentgen (R), which corresponds to an exposure of 2.58 E10-4 c/kg of air. More recently, exposure has also been expressed in terms Air Kerma (K) given by the absorbed dose in air in units of Sieverts (Sv): K(mGy) = 0.0873 · X(R).
“Exposure rate” means exposure per unit time (R/s) as measured at the center of the useful beam.
“External beam radiation therapy” means therapeutic irradiation in which the source of radiation is at a distance from the body.
“External dose” means that portion of the equivalent dose received from any source of radiation outside the body.
“Extremity” means hand, elbow, arm below the elbow, foot, knee, and leg below the knee.
“Eye equivalent dose” means the equivalent dose (HT) received by the eye at a tissue depth of 0.3 cm.
“Facility” means the location, building, vehicle, or complex under one administrative control, at which one or more radiation sources are installed, located and/or used.
“Fail-safe characteristics” mean a design feature which causes beam port shutters to close, or otherwise prevents emergence of the primary beam, upon the failure of a safety or warning device.
“Field emission equipment” means equipment which uses an x-ray tube in which electron emission from the cathode is due solely to the action of an electric field.
“Field flattening filter” means a filter used to homogenize the absorbed dose rate over the radiation field.
“Filter diagnostic” means material placed in the useful beam to preferentially absorb selected radiations.
“Filter therapy” means material placed in the useful beam to change beam quality in therapeutic radiation machines subject to Regulation 492, section 6.0 (formerly X.6).
“Fluoroscopic imaging assembly” means a subsystem by means of which a radiographic image is produced in real time. The assembly includes an image receptor, such as an image intensifier and an image display such as a CRT and/or a spot film device.
“Focal spot (actual)” means the area projected on the anode of the x-ray tube bombarded by the electrons accelerated from the cathode and from which the useful beam originates. The actual dimensions of the focal spot can be measured by means of a pinhole camera.
“Former Atomic Energy Commission” or “Nuclear Regulatory Commission licensed facilities” means nuclear reactors, nuclear fuel reprocessing plants, uranium enrichment plants, or critical mass experimental facilities where Atomic Energy Commission or Nuclear Regulatory Commission licenses have been terminated.
“Gantry” means that part of a radiation therapy system supporting and allowing movements of the radiation head about a center of rotation.
“General purpose radiographic x-ray system” means any radiographic x-ray system which, by design, is not limited to radiographic examination of specific anatomical regions.
“Generally applicable environmental radiation standards” means standards issued by the Environmental Protection Agency under the authority of the Atomic Energy Act of 1954, as amended, that impose limits on radiation exposures or levels, or concentrations or quantities of radioactive material, in the general environment outside the boundaries of locations under the control of persons possessing or using radioactive material.
“Gonad shield” means a protective barrier for the testes or ovaries.
“Gray (Gy)” means the SI unit of absorbed dose, kerma, and specific energy imparted equal to 1 joule per kilogram. The previous unit of absorbed dose (rad) is being replaced by the gray (1 Gy=100 rad).
“Hazardous waste” means those wastes designated as hazardous by the Environmental Protection Agency regulations in 40 CFR Part 261.
“Healing arts” means but is not limited to the practice of medicine, surgery, dentistry, registered pharmacy, podiatry, osteopathy, chiropractic, veterinary medicine or nursing.
“Healing arts screening” means the testing of human beings using x-ray machines for the detection or evaluation of health indications when such tests are not specifically and individually ordered by a licensed practitioner of the healing arts legally authorized to prescribe such x-ray tests for the purpose of diagnosis or treatment.
“Hearing” means a proceeding to examine an application or other matter before the Authority in order to adjudicate rights, duties or privileges.
“Heat unit” means a unit of energy equal to the product of the peak kilovoltage, milliamperes, and seconds, i.e., kVp x mA x second.
“High radiation area” means any area, accessible to individuals, in which radiation levels could result in an individual receiving an equivalent dose (H) in excess of 1 mSv (0.1 rem) in 1 hour at 30 centimeters from any source of radiation or from any surface that the radiation penetrates.
“Houndsfield” see CT number.
“Human use” means the internal or external administration of radiation or radioactive material to human beings.
“HVL diagnostic” or “Half-value layer diagnostic” means the thickness of specified material which attenuates the beam of radiation to an extent such that the exposure rate is reduced by one-half. In this definition, the contribution of all scattered radiation, other than any which might be present initially in the beam concerned, is deemed to be excluded.
“HVL therapy” or “Half-value layer therapy” means the thickness of a specified material which attenuates X-radiation or gamma radiation to an extent such that the air kerma rate, exposure rate or absorbed dose rate is reduced to one half of the value measured without the material at the same point.
“Image intensifier” means a device which converts the image information carried by an x-ray beam (the x-ray attenuation pattern) into a visible light image which can be observed in real time; i.e., during the course of the exposure.
“Image receptor” means any device, such as a fluorescent screen or radiographic film, which transforms incident x-ray photons either into a visible image or into another form which can be made into a visible image by further transformations.
“Image receptor support” means, for mammographic systems, that part of the system designed to support the image receptor during mammography.
“Imminent Radiation Hazard(s)” means an imminent hazard exists when the radiation levels that exist are in excess of three times the regulatory limit.
“Individual” means any human being.
“Individual monitoring” means the assessment of:
(1) Equivalent dose (H) (a) by the use of individual monitoring devices or (b) by the use of survey data; or
(2) Committed effective equivalent dose (H) (a) by bioassay or (b) by determination of the time-weighted air concentrations to which an individual has been exposed, that is, DAC-hours. [See the definition of DAC-hours in Regulation 483 (formerly Part D).]
“Individual monitoring devices” means devices designed to be worn by a single individual for the assessment of equivalent dose (H). For purposes of the regulations, "personnel dosimeter" and "dosimeter" are equivalent terms. Examples of individual monitoring devices are film badges, thermoluminescent dosimeters (TLDs), pocket ionization chambers, and personal air sampling devices.
“Industrial radiography” means the examination of the macroscopic structure of materials by nondestructive methods using sources of ionizing radiation to produce radiographic images.
“Industrial Technician” means any individual recognized by the Radiation Safety Officer who uses a source of radiation, tools or radiation survey instruments in industry.
“Inhalation class” (see "Class").
“Inherent filtration” means the filtration of the useful beam provided by the permanently installed components of the x-ray tube and the tube housing.
“Inspection” means an official examination or observation including, but not limited to, tests, surveys, and monitoring to determine compliance with the regulations.
“Instrument traceability” (for ionizing radiation measurements) means the ability to show that an instrument has been calibrated at specified time intervals using a national standard or a transfer standard. If a transfer standard is used, the calibration must be at a laboratory accredited by a program which requires continuing participation in measurement quality assurance with the National Institute of Standards and Technology or other equivalent national or international program.
“Interlock” means a device preventing the start or continued operation of equipment unless certain predetermined conditions prevail.
“Internal dose” means that portion of the equivalent dose (H) received from radioactive material taken into the body.
“Interruption of irradiation” means the stopping of irradiation with the possibility of continuing irradiation without resetting of operating conditions at the control panel.
“Interventional fluoroscopy x-ray system” means an x-ray system in which the beam axis of the x-ray beam is not constrained to be perpendicular to the plane of the x-ray tube.
“Irradiation” means the exposure of a living being or matter to ionizing radiation.
“Isocenter” means the center of the sphere through which the useful beam axis passes while the gantry moves through its full range of motions.
“Kilovolt (kV) [kilo electron volt (keV)]” means the energy equal to that acquired by a particle with one electron charge in passing through a potential difference of one thousand volts in a vacuum. [Note: current convention is to use kV for photons and keV for electrons.]
“Kilovolts peak (kVp)” (See "Peak tube potential").
"kV" means kilovolts.
"kVp" (See "Peak tube potential").
"kWs" means kilowatt second.
“Lead equivalent” means the thickness of the material in question affording the same attenuation, under specified conditions, as lead.
“Leakage radiation diagnostic” means radiation emanating from the diagnostic source assembly except for:
(1) the useful beam; and
(2) radiation produced when the exposure switch or timer is not activated.
“Leakage radiation accelerator” means radiation emanating from the accelerator except for the useful beam.
“Leakage technique factors” means the technique factors associated with the diagnostic source assembly which are used in measuring leakage radiation. They are defined as follows:
(1) For diagnostic source assemblies intended for capacitor energy storage equipment, the maximum-rated peak tube potential and the maximum-rated number of exposures in an hour for operation at the maximum-rated peak tube potential with the quantity of charge per exposure being 10 millicoulombs, i.e., 10 milliampere seconds, or the minimum obtainable from the unit, whichever is larger;
(2) For diagnostic source assemblies intended for field emission equipment rated for pulsed operation, the maximum-rated peak tube potential and the maximum-rated number of x-ray pulses in an hour for operation at the maximum-rated peak tube potential;
(3) For all other diagnostic source assemblies, the maximum-rated peak tube potential and the maximum-rated continuous tube current for the maximum-rated peak tube potential.
“License” means a license issued by the Agency in accordance with the regulations.
“Licensed or registered material” means radioactive material received, possessed, used, transferred or disposed of under a general or specific license or registration issued by the Agency in accordance with the regulations adopted by the Authority on Radiation Protection.
“Licensee” means any person who is licensed by the Agency in accordance with the Regulations and the Act.
“Licensee's Representative” means a person who has been authorized by the licensee to represent them during activities or proceedings governed by the regulations.
“Licensing State” means any State with regulations equivalent to the Suggested State Regulations for Control of Radiation relating to, and an effective program for, the regulatory control of NARM and which has been granted final designation by the Conference of Radiation Control Program Directors, Inc.
“Light field” means that area of the intersection of the light beam from the beam-limiting device and one of the set of planes parallel to and including the plane of the image receptor, whose perimeter is the locus of points at which the illumination is one-fourth of the maximum in the intersection.
“Limits” [See "Dose limits"].
“Line-voltage regulation” means the difference between the no-load and the load line potentials expressed as a percent of the load line potential. It is calculated using the following equation:
Percent line-voltage regulation = 100 (Vn-Vl)/Vl
where:
Vn = No-load line potential; and
Vl = Load line potential.
“Lixiscope” means a portable light-intensified imaging device using a sealed source.
“Local components” mean part of an analytical x-ray system and include areas that are struck by x-rays such as radiation source housings, port and shutter assemblies, collimators, sample holders, cameras, goniometers, detectors, and shielding, but do not include power supplies, transformers, amplifiers, readout devices, and control panels.
“Lost or missing source of radiation” means licensed or registered source of radiation whose location is unknown. This definition includes, but is not limited to, radioactive material that has been shipped but has not reached its planned destination and whose location cannot be readily traced in the transportation system.
“Lung class” [see "Class"].
“Lux” means a characteristic of a radiation receptor.
"mA" means milliampere.
“Manager” means the individual working at the facility who is authorized by the owner to sign the application form as the applicant.
“Management” means the chief executive officer or that individual's designee.
"mAs" means milliampere second.
“Maximum line current” means the root-mean-square current in the supply line of an x-ray machine operating at its maximum rating.
“Medical institution” means an organization in which several medical disciplines are practiced.
“Medical use” means the intentional internal or external administration of radioactive material, or the radiation therefrom, to humans in the practice of the healing arts.
“Megavolt (MV) [mega electron volt (MeV)]” means the energy equal to that acquired by a particle with one electron charge in passing through a potential difference of one million volts in a vacuum. [Note: current convention is to use MV for photons and MeV for electrons.]
“Member of the public” means an individual except when that individual is receiving an occupational or patient dose.
“Minor” means an individual less than 18 years of age.
“Misadministration” means the administration of:
(1) A radiopharmaceutical dosage greater than 1.11 megabecquerels (30 µCi) of either sodium iodide I-125 or I-131:
(a) Involving the wrong patient or wrong pharmaceutical; or
(b) When both the administered dosage differs from the prescribed dosage by more than 20 percent of the prescribed dosage and the difference between the administered dosage and prescribed dosage exceeds 1.11 megabecquerels (30 µCi);
(2) A therapeutic radiopharmaceutical dosage, other than sodium iodide I-125 or I-131;
(a) Involving the wrong patient, wrong radiopharmaceutical, or wrong route of administration; or
(b) When the administered dosage differs from the prescribed dosage by more than 20 percent of the prescribed dosage;
(3) A gamma stereotactic radiosurgery radiation dose:
(a) Involving the wrong patient or wrong treatment site; or
(b) When the calculated total administered dose differs from the total prescribed dose by more than 10 percent of the total prescribed dose;
(4) A teletherapy radiation dose:
(a) Involving the wrong patient, wrong mode of treatment, or wrong treatment site; or
(b) When the treatment consists of 3 or fewer fractions and the calculated total administered dose differs from the total prescribed dose by more than 10 percent of the total prescribed dose; or
(c) When the calculated weekly administered dose exceeds the weekly prescribed dose by 30 percent or more of the weekly prescribed dose; or
(d) When the calculated total administered dose differs from the total prescribed dose by more than 20 percent of the total prescribed dose;
(5) A brachytherapy radiation dose:
(a) Involving the wrong patient, wrong radionuclide, or wrong treatment site (excluding, for permanent implants, seeds that were implanted in the correct site but migrated outside the treatment site); or
(b) Involving a sealed source that is leaking; or
(c) When, for a temporary implant, one or more sealed sources are not removed upon completion of the procedure; or
(d) When the calculated administered dose differs from the prescribed dose by more than 20 percent of the prescribed dose;
(6) A diagnostic radiopharmaceutical dosage, other than quantities greater than 1.11 megabecquerels (30 µCi) of either sodium iodide I-125 or I-131, both:
(a) Involving the wrong patient, wrong radiopharmaceutical, wrong route of administration, or when the administered dosage differs from the prescribed dosage; and
(b) When the dose to the patient exceeds 50 millisieverts (5 rem) effective equivalent dose (H) or 500 millisieverts (50 rem) equivalent dose (H) to any individual organ.
“Mobile nuclear medicine service” means the transportation and medical use of radioactive material.
“Mobile x-ray equipment” (See "X-ray equipment").
“Modification” means a change in the specification of a machine or radiation facility.
“Monitor unit (MU)” (See "Dose monitor unit").
“Monitoring” means the measurement of radiation, radioactive material concentrations, surface area activities or quantities of radioactive material and the use of the results of these measurements to evaluate potential exposures and doses. For purposes of the regulations, "radiation monitoring" and "radiation protection monitoring" are equivalent terms.
“Moving beam radiation therapy” means radiation therapy with any planned displacement of radiation field or patient relative to each other, or with any planned change of absorbed dose distribution. It includes arc, skip, conformal, intensity modulation and rotational therapy.
“Multiple tomogram system” means a computed tomography x-ray system which obtains x-ray transmission data simultaneously during a single scan to produce more than one tomogram.
“NARM” means any naturally occurring or accelerator-produced radioactive material. It does not include byproduct, source, or special nuclear material. 4
“Natural radioactivity” means radioactivity of naturally occurring nuclides.5
“Noise” means the standard deviation of the fluctuations in CTN expressed as a percentage of the attenuation coefficient of water. Its estimate (Sn) is calculated using the following expression:

where:
µx = Linear attenuation coefficient of the material of interest.
µw = Linear attenuation coefficient of water.
s = Standard deviation of the CTN of picture elements in a specified area of the CT image.
“Nominal tomographic section thickness” means the full width at half-maximum of the sensitivity profile taken at the center of the cross-sectional volume over which x-ray transmission data are collected.
“Nominal treatment distance” means:
a. For electron irradiation, the distance from the scattering foil, virtual source, or exit window of the electron beam to the entrance surface of the irradiated object along the central axis of the useful beam.
b. For X-ray irradiation, the virtual source or target to isocenter distance along the central axis of the useful beam. For non-isocentric equipment, this distance shall be that specified by the manufacturer.
“Nonstochastic effect” means a health effect, the severity of which varies with the dose and for which a threshold is believed to exist. Radiation-induced cataract formation is an example of a nonstochastic effect. For purposes of the regulations, "deterministic effect" is an equivalent term.
“Normal operating procedures” mean step-by-step instructions necessary to accomplish the analysis. These procedures shall include sample insertion and manipulation, equipment alignment, routine maintenance by the registrant or licensee, and data recording procedures, which are related to radiation safety.
“Notice of Violation” means a written statement of one or more alleged infringements of a legally binding requirement. The notice normally requires the licensee, registrant or other permit holder to provide a written statement describing the following:
(1) corrective steps taken by the licensee, registrant or other permit holder and the results achieved;
(2) corrective steps to be taken to prevent recurrence; and
(3) the projected date for achieving full compliance. The Authority may require responses to notices of violation to be under oath.
“Nuclear Regulatory Commission” means the Nuclear Regulatory Commission or its duly authorized representatives.
“Occupational dose” means the dose received by an individual in the course of employment in which the individual's assigned duties for the licensee or registrant involve exposure to sources of radiation, whether or not the sources of radiation are in the possession of the licensee, registrant, or other person. Occupational dose does not include dose received from background radiation, or as a patient from medical practices, or from voluntary participation in medical research programs, or as a member of the public.
“Open-beam configuration” means an analytical x-ray system in which an individual could accidentally place some part of his body in the primary beam path during normal operation.
“Owner” means the person/individual who owns/leases the radiation source. An out-of-state owner shall authorize a manager to sign the application form.
“Package” means the packaging together with its radioactive contents as presented for transport.
“Particle accelerator” (See "Accelerator").
“Patient diagnostic” means an individual or animal subjected to healing arts examination, diagnosis, or treatment.
“Patient therapy” means an individual subjected to machine produced external beam radiation for the purposes of medical therapy.
“Peak tube potential” means the maximum value of the potential difference across the x-ray tube during an exposure.
“Periodic quality assurance check” means a procedure which is performed to ensure that a previous calibration continues to be valid.
“Permanent radiographic installation” means an installation or structure designed or intended for radiography and in which radiography is regularly performed.
“Person” means any individual, corporation, partnership, firm, association, trust, estate, public or private institution, group, agency, political subdivision of this State, any other State or political subdivision or agency thereof, and any legal successor, representative, agent, or agency of the foregoing, but shall not include federal government agencies.
“Personal supervision” means guidance and instruction provided to a radiographer trainee by a radiographer instructor who is present at the site, in visual contact with the trainee while the trainee is using sources of radiation, and in such proximity that immediate assistance can be given if required.
“Personnel monitoring equipment” (See "Individual monitoring devices").
“Phantom diagnostic” means a volume of material behaving in a manner similar to tissue with respect to the attenuation and scattering of radiation. This requires that both the atomic number (Z) and the density of the material be similar to that of tissue.
“Phantom therapy” means an object behaving in essentially the same manner as tissue, with respect to absorption or scattering of the ionizing radiation in question.
“Pharmacist” means an individual licensed in the State of Delaware to compound and dispense drugs, prescriptions, and poisons.
“Physician” means an individual licensed to practice medicine in the State of Delaware.
“Picture element (pixel)” means a two-dimensional element of a projection image, usually represented by a single numerical value called the pixel value.
“Planned special exposure” means an infrequent exposure to radiation, separate from and in addition to the annual occupational dose limits.
“Portable x-ray equipment” (See "X-ray equipment").
“PID” or “Position indicating device” means a device on dental x-ray equipment used to indicate the beam position and to establish a definite source-surface (skin) distance. It may or may not incorporate or serve as a beam-limiting device.
“PBL” or “Positive beam limitation” means the automatic or semi-automatic adjustment of an x-ray beam to the size of the selected image receptor, whereby exposures cannot be made without such adjustment.
“Practical range of electrons” corresponds to classical electron range where the only remaining contribution to dose is from bremsstrahlung X-rays. A further explanation may be found in "Clinical Electron Beam Dosimetry: Report of AAPM Radiation Therapy Committee Task Group 25" [Medical Physics 18(1): 73 109, Jan/Feb. 1991] and ICRU Report 35, "Radiation Dosimetry: Electron Beams with Energies Between 1 and 50 MeV", International Commission on Radiation Units and Measurements, September 15, 1984.
“Prescribed dosage” means the quantity of radiopharmaceutical activity as documented:
(1) In a written directive; or
(2) Either in the diagnostic clinical procedures manual or in any appropriate record in accordance with the directions of the authorized user for diagnostic procedures.
“Prescribed dose” means:
(1) For gamma stereotactic radiosurgery, the total dose as documented in the written directive; or
(2) For teletherapy, the total dose and dose per fraction as documented in the written directive; or
(3) For brachytherapy, either the total source strength and exposure time, or the total dose, as documented in the written directive.
“Primary beam” means radiation which passes through an aperture of the source housing by a direct path from the x-ray tube or a radioactive source located in the radiation source housing.
“Primary dose monitoring system” means a system which will monitor the useful beam during irradiation and which will terminate irradiation when a pre-selected number of dose monitor units have been delivered.
“Primary protective barrier” (See "Protective barrier").
“Protective apron” means an apron made of radiation absorbing materials used to reduce radiation exposure.
“Protective barrier” means a barrier of radiation absorbing material(s) used to reduce radiation exposure. The types of protective barriers are as follows:
(1) "Primary protective barrier" means the material, excluding filters, placed in the useful beam;
(2) "Secondary protective barrier" means the material which attenuates stray radiation.
“Protective glove” means a glove made of radiation absorbing materials used to reduce radiation exposure.
“Public dose” means the dose received by a member of the public from sources of radiation from licensed or registered operations. Public dose does not include occupational dose, or dose received from background radiation, or dose received as a patient from medical practices, or dose received from voluntary participation in medical research programs.
“Pyrophoric material” means any liquid that ignites spontaneously in dry or moist air at or below 130 ûF (54.4 ûC) or any solid material, other than one classed as an explosive, which under normal conditions is liable to cause fires through friction, retained heat from manufacturing or processing, or which can be ignited readily and, when ignited, burns so vigorously and persistently as to create a serious transportation, handling, or disposal hazard. Included are spontaneously combustible and water-reactive materials.
“Qualified expert” means an individual who has demonstrated to the satisfaction of the Agency that such individual possesses the knowledge and training to measure ionizing radiation, to evaluate safety techniques, and to advise regarding radiation protection needs, for example, individuals certified in the appropriate field by the American Board of Radiology, or the American Board of Health Physics, or the American Board of Medical Physics, or those having equivalent qualifications. With reference to the calibration of radiation therapy equipment, an individual having, in addition to the above qualifications, training and experience in the clinical applications of radiation physics to radiation therapy, for example, individuals certified in Therapeutic Radiological Physics or X-Ray and Radium Physics by the American Board of Radiology, or those having equivalent qualifications.
“Quarter” means a period of time equal to one-fourth of the year observed by the licensee, approximately 13 consecutive weeks, providing that the beginning of the first quarter in a year coincides with the starting date of the year and that no day is omitted or duplicated in consecutive quarters.
“Rad” means the special unit of absorbed dose. One rad is equal to an absorbed dose of 100 erg per gram or 0.01 joule per kilogram (0.01 gray).
“Radiation” means alpha particles, beta particles, gamma rays, x rays, neutrons, high-speed electrons, high-speed protons, and other particles capable of producing ions. For purposes of the regulations, ionizing radiation is an equivalent term. Radiation, as used in the regulations, does not include non-ionizing radiation, such as radiowaves or microwaves, visible, infrared, or ultraviolet light.
“Radiation area” means any area, accessible to individuals, in which radiation levels could result in an individual receiving a equivalent dose (H) in excess of 0.05 mSv (0.005 rem) in 1 hour at 30 centimeters from the source of radiation or from any surface that the radiation penetrates.
“Radiation detector” means a device which in the presence of radiation provides a signal or other indication suitable for use in measuring one or more quantities of incident radiation.
“Radiation dose” [See "Dose"].
“Radiation field” (See "Useful beam")
“Radiation head” means the structure from which the useful beam emerges.
“Radiation machine” means any device capable of producing radiation except, those devices with radioactive material as the only source of radiation.
“Radiation safety officer” means an individual who has the knowledge and responsibility to apply appropriate radiation protection regulations.
“Radiation source” see source of radiation.
“Radiation Therapy Physicist” means an individual qualified in accordance with Regulation 492 (formerly Part X.3d).
“Radiation therapy simulation system” means a radiographic or fluoroscopic x ray system intended for localizing the volume to be exposed during radiation therapy and confirming the position and size of the therapeutic irradiation field.
“Radiation weighting factor (WR)” means a weighting factor used in calculating equivalent dose, which takes account of the relative effectiveness of the particular kind of ionizing radiation in producing biological damage. The radiation weighting factor (WR) was formerly called the quality factor (Q). See Appendix C of Regulation 485 for a table of radiation weighting factors.
“Radioactive material” means any solid, liquid, or gas which emits radiation spontaneously.
“Radioactivity” means the transformation of unstable atomic nuclei by the emission of radiation.
“Radiobioassay” (See "Bioassay").
“Radiograph” means a displayed image of an x-ray attenuation pattern, e.g., on photographic film or on a CRT display.
“Radiographer” means any individual who performs or personally supervises industrial radiographic operations and who is responsible to the licensee or registrant for assuring compliance with the requirements of the regulations and all license and/or certificate of registration conditions.
“Radiographer instructor” means any radiographer who has been authorized by the Agency to provide on-the-job training to radiographer trainees in accordance with Regulation 484, Section 10.2.2 (formerly referenced as subparagraph E.201b.ii).
“Radiographer trainee” means any individual who, under the personal supervision of a radiographer instructor, uses sources of radiation, related handling tools, or radiation survey instruments during the course of his instruction.
“Radiographic exposure device” means any instrument containing a sealed source fastened or contained therein, in which the sealed source or shielding thereof may be moved, or otherwise changed, from a shielded to unshielded position for purposes of making a radiographic exposure.
“Radiographic imaging system” any system which permanently or semi-permanently records a radiographic image on an image receptor and displays the recorded image as a radiograph.
“Radiographic personnel” means any radiographer, radiographer instructor, or radiographer trainee.
“Rating” means the operating limits as specified by the component manufacturer.
“Recordable event” means the administration of:
(1) A radiopharmaceutical or radiation without a written directive where a written directive is required;
(2) A radiopharmaceutical or radiation where a written directive is required without daily recording of each administered radiopharmaceutical dosage or radiation dose in the appropriate record;
(3) A radiopharmaceutical dosage greater than 1.11 megabecquerels (30 µCi) of sodium iodide I-125 or I-131 when both the administered dosage differs from the prescribed dosage by more than 10 percent of the prescribed dosage, and the difference between the administered dosage and the prescribed dosage exceeds 555 kilobecquerels (15 µCi);
(4) A therapeutic radiopharmaceutical dosage, other than sodium iodide I-125 or I-131, when the administered dosage differs from the prescribed dosage by more than 10 percent of the prescribed dosage
(5) A teletherapy radiation dose when the calculated weekly administered dose exceeds the weekly prescribed dose by 15 percent or more of the weekly prescribed dose; or
(6) A brachytherapy radiation dose when the calculated administered dose differs from the prescribed dose by more than 10 percent of the prescribed dose.
“Recording” means creation of a retrievable, permanent or semi-permanent record of a radiographic image.
“Redundant beam monitoring system” means a combination of two dose monitoring systems in which each system is designed to terminate irradiation in accordance with a pre selected number of dose monitor units.
“Reference man” means a hypothetical aggregation of human physical and physiological characteristics determined by international consensus. These characteristics may be used by researchers and public health employees to standardize results of experiments and to relate biological insult to a common base. A description of the reference man is contained in the International Commission on Radiological Protection report, ICRP Publication 23, "Report of the Task Group on Reference Man."
“Reference plane” means a plane which is displaced from and parallel to the tomographic plane.
“Registrant” means any person who is registered with the Agency and is legally obligated to register/enroll with the Agency pursuant to the regulations and the Act.
“Registrant's Agent” means an individual whose training and experience is acceptable to the Agency.
“Registration” means to enroll or register with the Agency in accordance with the regulations.
“Regulations” mean all parts of the Delaware Radiation Control Regulations (DRCR) and all parts of the Delaware Radiation Technologist Certification Regulations (RTCR).
“Regulations of the U.S. Department of Transportation” means the regulations in 49 CFR Parts 100-189 and the Parts 390-397.
“Regulations of the US Nuclear Regulatory Commission" means the regulations in 10 CFR Parts 0-199.
“Rem” means the special unit of any of the quantities expressed as equivalent dose (H). The equivalent dose (H) in rem is equal to the absorbed dose in rad multiplied by the radiation weighting factor (1 rem = 0.01 Sv).
“Research and development” means (1) theoretical analysis, exploration, or experimentation; or (2) the extension of investigative findings and theories of a scientific or technical nature into practical application for experimental and demonstration purposes, including the experimental production and testing of models, devices, equipment, materials, and processes. Research and development does not include the internal or external administration of radiation or radioactive material to human beings.
“Residential location” means any area where structures in which people lodge or live are located, and the grounds on which such structures are located including, but not limited to, houses, apartments, condominiums, and garages.
“Respiratory protective equipment” means an apparatus, such as a respirator, used to reduce an individual's intake of airborne radioactive materials.
“Restricted area” means an area, access to which is limited by the licensee or registrant for the purposes of protecting individuals against undue risks from exposure to sources of radiation. Restricted area does not include areas used as residential quarters, but separate rooms in a residential building may be set apart as a restricted area.
“Roentgen” means the special unit of exposure. One roentgen (R) equals 2.58E-4 coulombs/per kilogram of air (see "Exposure" and Regulation 480. section 9.0, formerly referenced as A.13).
“Sanitary sewerage” means a system of public sewers for carrying off waste water and refuse, but excluding sewage treatment facilities, septic tanks, and leach fields owned or operated by the licensee or registrant.
“Scan” means the complete process of collecting x-ray transmission data for the production of a tomogram. Data can be collected simultaneously during a single scan for the production of one or more tomograms.
“Scan increment” means the amount of relative displacement of the patient with respect to the CT x-ray system between successive scans measured along the direction of such displacement.
“Scan sequence” means a pre-selected set of two or more scans performed consecutively under pre-selected CT conditions of operation.
“Scan time” means the period of time between the beginning and end of x-ray transmission data accumulation for a single scan.
“Scattered radiation” means radiation emitted by interaction with matter, the interaction being accompanied by a change in direction of the radiation. (See "Direct scattered radiation").
“Sealed source” means any container of radioactive material which has been constructed in such a manner as to prevent the escape of any radioactive material.
“Secondary dose monitoring system” means a system which will terminate irradiation in the event of failure of the primary dose monitoring system.
“Secondary protective barrier” (See "Protective barrier").
“Sensitometer” means a device for exposing photographic x-ray film to visible light of varying intensity.
“Sensitometric test” means determination of the response curve of a photographic film. The response curve shows the dependence of film optical density (OD) plotted on the ordinate (y-axis) to exposure, plotted as the logarithm of exposure (log E) on the abscissa (x-axis). The exposure scale may be relative or absolute. This test may be performed by exposing the film to visible light from a calibrated sensitometer or by exposing the film/intensifying screen system to x-rays.
“Severity Level” means a classification of violations based on relative seriousness of each violation and the significance of the effect of the violation on the occupational or public health or safety.
“Shadow tray” means a device attached to the radiation head to support auxiliary beam blocking material.
“Shallow equivalent dose” (Hs), which applies to the external exposure of the skin or an extremity, means the equivalent dose at a tissue depth of 0.007 centimeter (7 mg/cm2) averaged over an area of 1 square centimeter.
“Shielded position” means the location within the radiographic exposure device or storage container which, by manufacturer's design, is the proper location for storage of the sealed source.
“Shielded-room radiography” means industrial radiography conducted in a room shielded so that radiation levels at every location on the exterior meet the limitations specified in Regulations 483, sections 6, 11, 12, 13 and 14, (formerly referenced as section D.201, 207, 208 and 301) of the regulations.
“Shutter” means a device attached to the tube housing assembly which can intercept the entire cross sectional area of the useful beam and which has a lead equivalency not less than that of the tube housing assembly.
"SI" means the abbreviation for the International System of Units.
“SID” or Source-image receptor distance means the distance from the source to the center of the input surface of the image receptor.
“Sievert” means the SI unit of any of the quantities expressed as equivalent dose (H). The equivalent dose (H) in sievert is equal to the absorbed dose in gray multiplied by the radiation weighting factor (1 Sv = 100 rem).
“Simulator (radiation therapy simulation system)” means any X ray system intended for localizing the volume to be exposed during radiation therapy and reproducing the position and size of the therapeutic irradiation field.
“Single tomogram system” means a CT x-ray system which obtains x-ray transmission data during a scan to produce a single tomogram.
“Source diagnostic” means the focal spot of the x-ray tube.
“Source therapy” means the region and/or material from which the radiation emanates.
“Source changer” means a device designed and used for replacement of sealed sources in radiographic exposure devices, including those source changers also used for transporting and storage of sealed sources.
“Source material” means:
(1) Uranium or thorium, or any combination thereof, in any physical or chemical form; or
(2) Ores that contain by weight one-twentieth of 1 percent (0.05 percent) or more of uranium, thorium or any combination of uranium and thorium. Source material does not include special nuclear material.
“Source material milling” means any activity that results in the production of byproduct material as defined by definition (2) of byproduct material.
“Source of radiation” means any radioactive material or any device or equipment emitting, or capable of producing, radiation.
“Source traceability” means the ability to show that a radioactive source has been calibrated either by the national standards laboratory of the National Institute of Standards and Technology, or by a laboratory which participates in a continuing measurement quality assurance program with National Institute of Standards and Technology or other equivalent national or international program.
“Special form radioactive material” means radioactive material that satisfies the following conditions:
(1) It is either a single solid piece or is contained in a sealed capsule that can be opened only by destroying the capsule;
(2) The piece or capsule has at least one dimension not less than 5 millimeters (0.2 inch); and
(3) It satisfies the test requirements specified by the Nuclear Regulatory Commission. A special form encapsulation designed in accordance with the Nuclear Regulatory Commission requirements in effect on June 30, 1983, and constructed prior to July 1, 1985, may continue to be used. A special form encapsulation either designed or constructed after June 30, 1985, must meet requirements of this definition applicable at the time of its design or construction.
“Special nuclear material” means:
(1) Plutonium, uranium-233, uranium enriched in the isotope 233 or in the isotope 235, and any other material that the Agency declares by order to be special nuclear material after the Nuclear Regulatory Commission, pursuant to the provisions of section 51 of the Atomic Energy Act of 1954, as amended, determines to be special nuclear material, but does not include source material; or
(2) Any material artificially enriched by any of the foregoing but does not include source material.
“Spot check” means an abbreviated calibration procedure which is performed to assure that a previous calibration continues to be valid.
“Spot film” means a radiograph which is made during a fluoroscopic examination to permanently record conditions which exist during that fluoroscopic procedure.
“Spot-film device” means a device intended to transport and/or position a radiographic image receptor between the x-ray source and fluoroscopic image receptor. It includes a device intended to hold a cassette over the input end of an image intensifier for the purpose of making a radiograph.
“SSD diagnostic” or “Source-skin distance diagnostic” means the distance between the source and the skin entrance plane of the patient.
“SSD therapy” or “Source-skin distance therapy” (See "TSD Target-skin distance")]
“SSRCR” means the ionizing category of the suggested State Regulations for Control of Radiation.
“Stationary beam radiation therapy” means radiation therapy without displacement of one or more mechanical axes relative to the patient during irradiation.
“Stationary x-ray equipment” (See "X-ray equipment").
“Stochastic effect” means a health effect that occurs randomly and for which the probability of the effect occurring, rather than its severity, is assumed to be a linear function of dose without threshold. Hereditary effects and cancer incidence are examples of stochastic effects. For purposes of the regulations, "probabilistic effect" is an equivalent term.
“Storage” means a condition in which a device or source is not being used for an extended period of time, has been made inoperable, and shall be tagged by the Agency.
“Storage area” means any location, facility, or vehicle which is used to store, to transport, or to secure a radiographic exposure device, a storage container, or a sealed source when it is not in use and which is locked or has a physical barrier to prevent accidental exposure, tampering with, or unauthorized removal of the device, container, or source.
“Storage container” means a shielded device in which sealed sources are secured and stored.
“Stray radiation” means the sum of leakage and scattered radiation.
“Survey” means an evaluation of the radiological conditions and potential hazards incident to the production, use, transfer, release, disposal, or presence of sources of radiation. When appropriate, such evaluation includes, but is not limited to, tests, physical examinations, and measurements of levels of radiation or concentrations of radioactive material present.
“Target” means that part of an X-ray tube or accelerator onto which a beam of accelerated particles is directed to produce ionizing radiation or other particles.
“Technique factors” means the following conditions of operation:
(1) For capacitor energy storage equipment, peak tube potential in kV and quantity of charge in mAs;
(2) For field emission equipment rated for pulsed operation, peak tube potential in kV, and number of x-ray pulses;
(3) For CT x-ray systems designed for pulsed operation, peak tube potential in kV, scan time in seconds, and either tube current in mA, x-ray pulse width in seconds, and the number of x-ray pulses per scan, or the product of tube current, x-ray pulse width, and the number of x-ray pulses in mAs;
(4) For CT x-ray systems not designed for pulsed operation, peak tube potential in kV, and either tube current in mA and scan time in seconds, or the product of tube current and exposure time in mAs and the scan time when the scan time and exposure time are equivalent; and
(5) For all other equipment, peak tube potential in kV, and either tube current in mA and exposure time in seconds, or the product of tube current and exposure time in mAs.
“Teletherapy” means therapeutic irradiation in which the source of radiation is at a distance from the body.
“Teletherapy physicist” means an individual identified as the qualified teletherapy physicist on an Agency license.
“Temporary job site” means any location where industrial radiography is performed other than the location(s) listed in a specific license or registration.
“Termination of irradiation” means the stopping of irradiation in a fashion which will not permit continuance of irradiation without the resetting of operating conditions at the control panel.
“Test” means the process of verifying compliance with an applicable regulation.
“Therapeutic radiation machine” means X ray or electron producing equipment designed and used for external beam radiation therapy. A therapeutic radiation machine is a radiation source.
“Tissue Weighting Factor WT” means a weighting factor used in calculating effective dose intended to assign the proportion of risk of stochastic effects resulting from irradiation of a particular tissue compared to uniform whole body irradiation.
Tissue Weighting Factors (WT) Assigned by the International Commission on Radiological Protection*
Tissue/Organ | (WT) |
Gonads | 0.20 |
Stomach | 0.12 |
Colon | 0.12 |
Lung | 0.12 (0.08) + |
Red bone Marrow | 0.12 |
Breast | 0.05 |
Esophagus | 0.05 |
Bladder | 0.05 |
Liver | 0.05 |
Thyroid | 0.05 |
Bone surfaces | 0.01 |
Skin | 0.01^ |
Remainder | 0.05 |
*Adapted from 1990 Recommendations of the International Commission on Radiological Protection, ICRP Publication No. 60, Oxford: Pergammon 1991.
^ Applied to the mean equivalent dose over the entire skin.
+ Bronchial epithelium
“Tomogram” means the depiction of the x-ray attenuation properties of a section through the body.
“Tomographic plane” means that geometric plane which is identified as corresponding to the output tomogram.
“Tomographic section” means the volume of an object whose x-ray attenuation properties are imaged in a tomogram.
“Total effective equivalent dose (TEED)” means the sum of the deep equivalent dose for external exposures and the committed effective equivalent dose for internal exposures.
“Total organ equivalent dose (H) (TOED)” means the sum of the deep equivalent dose and the committed equivalent dose (HT,50) to the organ receiving the highest dose as described in Regulation 483, Section 46.1.6, (formerly referenced as D.1107a.vi) of the regulations.
“Traceable to a National Standard” (See "Instrument traceability" or "Source traceability").
“Transport container” means a package that is designed to provide radiation safety and security when sealed sources are transported and which meets all applicable requirements of the U.S. Department of Transportation.
“Transport group” means any of one of seven groups into which radionuclides in normal form are classified, according to their toxicity and their relative potential hazard in transport.
“TSD” or “Target-skin distance” means the distance measured along the beam axis from the center of the front surface of the X-ray target and/or electron virtual source to the surface of the irradiated object or patient.
“Tube” means an x-ray tube, unless otherwise specified.
“Tube housing assembly” means the tube housing with tube installed. It includes high-voltage and/or filament transformers and other appropriate elements when such are contained within the tube housing.
“Tube rating chart” means the set of curves which specify the rated limits of operation of the tube in terms of the technique factors.
“TVL” or Tenth-value layer means the thickness of a specified material which attenuates X-radiation or gamma radiation to an extent such that the air kerma rate, exposure rate, or absorbed dose rate is reduced to one-tenth of the value measured without the material at the same point.
“Unrefined and unprocessed ore” means ore in its natural form prior to any processing, such as grinding, roasting, beneficiating, or refining.
“Unrestricted area” means an area, access to which is neither limited nor controlled by the licensee or registrant. For purposes of the regulations, "uncontrolled area" is an equivalent term.
“Useful beam” means the radiation emanating from the tube housing port or the radiation head and passing through the aperture of the beam limiting device when the exposure controls are in a mode to cause the system to produce radiation.
“Variable-aperture beam-limiting device” means a beam-limiting device which has capacity for stepless adjustment of the x-ray field size at a given SID.
“Very high radiation area” means an area, accessible to individuals, in which radiation levels could result in an individual receiving an absorbed dose in excess of 5 Gy (500 rad) in 1 hour at 1 meter from a source of radiation or from any surface that the radiation penetrates.
“Violation” means an infringement of any rule, certificate, license, or registration condition, order of the Agency, or provisions of the Act.
“Visual field” means the area illuminated by light, simulating the radiation field.
“Virtual source” means a point from which radiation appears to originate.
“Visible area” means that portion of the input surface of the image receptor over which an incident x-ray photons are producing a visible image.
“Visiting authorized user” means an authorized user who is not identified on the license of the licensee being visited.
“Waste” means those low-level radioactive wastes that are acceptable for disposal in a land disposal facility. For the purposes of this definition, low-level waste has the same meaning as in the Low-Level Radioactive Waste Policy Act, P.L. 96-573, as amended by P.L. 99-240, effective January 15, 1986; that is, radioactive waste (a) not classified as high-level radioactive waste, spent nuclear fuel, or byproduct material as defined in Section 11e.(2) of the Atomic Energy Act (uranium or thorium tailings and waste) and (b) classified as low-level radioactive waste consistent with existing law and in accordance with (a) by the Nuclear Regulatory Commission.
“Waste handling licensees” mean persons licensed to receive and store radioactive wastes prior to disposal and/or persons licensed to dispose of radioactive waste.
“Wedge filter” means a filter which effects continuous change in transmission over all or a part of the useful beam.
“Week” means 7 consecutive days starting on Sunday.
“Weighting factor” see Radiation Weighting Factor.
“Whole body” means, for purposes of external exposure, head, trunk including male gonads, arms above the elbow, or legs above the knee.
“Worker” means an individual engaged in work with radiation source under a license or registration issued by the Agency and controlled by a licensee or registrant, but does not include the licensee or registrant.
“Working level (WL)” means any combination of short-lived radon daughters in 1 liter of air that will result in the ultimate emission of 1.3E+5 MeV of potential alpha particle energy. The short-lived radon daughters of radon-222 are polonium-218, lead-214, bismuth-214, and polonium-214; and those of radon-220 are polonium-216, lead-212, bismuth-212, and polonium-212.
“Working level month” (WLM) means an exposure to 1 working level for 170 hours -- 2,000 working hours per year divided by 12 months per year is approximately equal to 170 hours per month.
“Written directive” means an order in writing for a specific patient, dated and signed by an authorized user prior to the administration of a radiopharmaceutical or radiation, except as specified in (6), containing the following information:
(1) For any administration of quantities greater than 1.11 megabecquerels (30 µCi) of sodium iodide I-125 or I-131: the radionuclide, and dosage; and route of administration to end; or
(2) For a therapeutic administration of a radiopharmaceutical [other than sodium iodide I-125 or I-131: the radiopharmaceutical, dosage, and route of administration; or
(3) For gamma stereotactic radiosurgery: target coordinates, collimator size, plug pattern, and total dose; or
(4) For teletherapy: the total dose, dose per fraction, treatment site, and overall treatment period; or
(5) For high-dose-rate remote afterloading brachytherapy: the radionuclide, treatment site, and total dose; or
(6) For all other brachytherapy,
(a) Prior to implantation: the radionuclide, number of sources, and source strengths; and
(b) After implantation but prior to completion of the procedure: the radionuclide, treatment site, and total source strength and exposure time (or, equivalently, the total dose).
“X-ray exposure control” means a device, switch, button or other similar means by which an operator initiates and/or terminates the radiation exposure. The x-ray exposure control may include such associated equipment as timers and back-up timers.
“X-ray equipment” means an x-ray system, subsystem, or component thereof. Types of x-ray equipment are as follows:
(1) “Mobile x-ray equipment” means x-ray equipment mounted on a permanent base with wheels and/or casters for moving while completely assembled.
(2) “Portable x-ray equipment” means x-ray equipment designed to be hand-carried.
(3) “Stationary x-ray equipment” means x-ray equipment which is installed in a fixed location.
“X-ray field” means that area of the intersection of the useful beam and any one of the set of planes parallel to and including the plane of the image receptor, whose perimeter is the locus of points at which the exposure rate is one-fourth of the maximum in the intersection.
“X-ray high-voltage generator” means a device which transforms electrical energy from the potential supplied by the x-ray control to the tube operating potential. The device may also include means for transforming alternating current to direct current, filament transformers for the x-ray tube(s), high-voltage switches, electrical protective devices, and other appropriate elements.
“X-ray system” means an assemblage of components for the controlled production of x-rays. It includes minimally an x-ray high-voltage generator, an x-ray control, a tube housing assembly, a beam-limiting device, and the necessary supporting structures. Additional components which function with the system are considered integral parts of the system.
“X-ray table” means a patient support device with its patient support structure (tabletop) interposed between the patient and the image receptor during radiography and/or fluoroscopy. This includes, but is not limited to, any stretcher equipped with a radiolucent panel and any table equipped with a cassette tray (or bucky), cassette tunnel, image intensifier, or spot-film device beneath the tabletop.
“X-ray tube diagnostic” means any electron tube which is designed for the conversion of electrical energy into X-ray energy.
“X-ray tube therapy” means any electron tube which is designed to be used primarily for the production of X-rays.
“Year” means the period of time beginning in January used to determine compliance with the provisions of the regulations. The licensee or registrant may change the starting date of the year used to determine compliance by the licensee or registrant provided that the change is made at the beginning of the year and that no day is omitted or duplicated in consecutive years.
3.1 Exemptions. An exemption may be granted by the Agency if, based on documented and publicly available information, the Agency has verified that the proposed exempted practice or equipment does not pose any danger to the applicant, his employees or any others coming into contact with the exempted practice or equipment. An exemption request that deviates from accepted standards as specified in the regulations, such that the safe use of said practice or equipment cannot be supported by extraneous documented and publicly available information must be referred to the Authority on Radiation Protection for consideration.
3.1.1 General Provision. The Agency as the Agent for the Authority on Radiation Protection may, upon application or upon its own initiative, grant such exemptions or exceptions from the requirements of the regulations as it determines are authorized by law and will not result in undue hazard to public health and safety or property.
3.1.2 Department of Energy Contractors and Nuclear Regulatory Commission Contractors. Any Department of Energy contractor or subcontractor and any Nuclear Regulatory Commission contractor or subcontractor of the following categories operating within this State is exempt from the regulations to the extent that such contractor or subcontractor under his contract receives, possesses, uses, transfers, or acquires sources of radiation:
3.1.2.1 Prime contractors performing work for the Department of Energy at U.S. Government-owned or -controlled sites, including the transportation of sources of radiation to or from such sites and the performance of contract services during temporary interruptions of such transportation;
3.1.2.2 Prime contractors of the Department of Energy performing research in, or development, manufacture, storage, testing, or transportation of, atomic weapons or components thereof;
3.1.2.3 prime contractors of the Department of Energy using or operating nuclear reactors or other nuclear devices in a United States Government-owned vehicle or vessel; and
3.1.2.4 any other prime contractor or subcontractor of the Department of Energy or of the Nuclear Regulatory Commission when the State and the Nuclear Regulatory Commission jointly determine:
3.1.2.4.1 That the exemption of the prime contractor or subcontractor is authorized by law; and
3.1.2.4.2 That, under the terms of the contract or subcontract, there is adequate assurance that the work thereunder can be accomplished without undue risk to the public health and safety.
4.1 Records. Each licensee and registrant shall maintain records showing the receipt, transfer, and disposal of all sources of radiation. Additional record requirements are specified elsewhere in the regulations.
4.2 Inspections
4.2.1 Each licensee and registrant shall afford the Agency at all reasonable times opportunity to inspect sources of radiation and the premises and facilities wherein such sources of radiation are used or stored.
4.2.2 Each licensee and registrant shall make available to the Agency for inspection, upon reasonable notice, records maintained pursuant to the regulations.
4.3 Tests. Each licensee and registrant shall perform upon instructions from the Agency, or shall permit the Agency to perform, such reasonable tests as the Agency deems appropriate or necessary including, but not limited to, tests of:
4.3.1 Sources of radiation;
4.3.2 Facilities wherein sources of radiation are used or stored;
4.3.3 Radiation detection and monitoring instruments; and
4.3.4 Other equipment and devices used in connection with utilization or storage of licensed or registered sources of radiation.
Additional Requirements. The Authority through the Agency may, by rule, regulation, or order, impose upon any licensee or registrant such requirements in addition to those established in the regulations as it deems appropriate or necessary to minimize danger to public health and safety or property.
6.1 Violations. An injunction or other court order may be obtained prohibiting any violation of any provision of the Act or any regulation or order issued thereunder. Any person who willfully violates any provision of the Act or any regulation or order issued thereunder may be guilty of a felony, misdemeanor or crime and, upon conviction, may be punished by fine or imprisonment or both, as provided by law.
6.2 Impounding. Sources of radiation shall be subject to impoundment pursuant to Section 7415 of the Act.
6.3 Prohibited Uses
6.3.1 A hand-held fluoroscopic screen shall not be used with x-ray equipment unless it has been listed in the Registry of Sealed Source and Devices or accepted for certification by the Food and Drug Administration, Center for Devices and Radiological Health.
6.3.2 A shoe-fitting fluoroscopic device shall not be used.
6.3.3 A closed end PID (conical position indicating device) shall not be used.
6.3.4 A source of radiation shall not be abandoned.
Interpretations. Except as specifically authorized by the Agency in writing, no interpretation of the regulations by an officer or employee of the Agency other than a written interpretation by the Authority on Radiation Protection will be recognized to be binding upon the Agency.
Communications. All communications and reports concerning the regulations, and applications filed thereunder, should be addressed to the Agency at its Office of Radiation Control, Division of Public Health, 417 Federal Street, Dover, DE 19901.
9.1 As used in the regulations, the unit of exposure is the coulomb per kilogram (C/kg) of air. One roentgen is equal to 2.58E-4 coulomb per kilogram of air.
9.2 As used in the regulations, the units of dose are:
9.2.1 Gray (Gy) is the SI unit of absorbed dose. One gray is equal to an absorbed dose of 1 joule per kilogram (100 rad).
9.2.2 Rad is the special unit of absorbed dose. One rad is equal to an absorbed dose of 100 erg per gram or 0.01 joule per kilogram (0.01 Gy).
9.2.3 Rem is the special unit of any of the quantities expressed as equivalent dose (H). The equivalent dose (H) in rem is equal to the absorbed dose in rad multiplied by the radiation weighting factor (1 rem = 0.01 Sv).
9.2.4 Sievert is the SI unit of any of the quantities expressed as equivalent dose (H). The equivalent dose (H) in sievert is equal to the absorbed dose in gray multiplied by the radiation weighting factor (1 Sv = 100 rem).
9.3 As used in the regulations, the radiation weighting factors for converting absorbed dose to equivalent dose (H) are shown in Table I.
9.4 If it is more convenient to measure the neutron fluence rate than to determine the neutron equivalent dose (H) rate in sievert per hour or rem per hour, as provided in A.13c., 0.01 Sv (1 rem) of neutron radiation of unknown energies may, for purposes of the regulations, be assumed to result from a total fluence of 25 million neutrons per square centimeter incident upon the body. If sufficient information exists to estimate the approximate energy distribution of the neutrons, the licensee or registrant may use the fluence rate per unit equivalent dose (H) or the appropriate Q value from Table II to convert a measured tissue dose in gray or rad to equivalent dose (H) in sievert or rem.
10.1 For purposes of the regulations, activity is expressed in the SI unit of becquerel (Bq) or in the special unit of curie (Ci), or their multiples, or disintegrations or transformations per unit of time.
10.2 One becquerel (Bq) = 1 disintegration or transformation per second (dps or tps).
10.3 One curie (Ci) = 3.7E+10 disintegrations or transformations per second (dps or tps) = 3.7E+10 becquerel (Bq) = 2.22E+12 disintegrations or transformations per minute (dpm or tpm).
TABLE I
Radiation Weighting Factors And Absorbed Dose Equivalencies
Type of Radiation | Radiation Weighting) Factor (Q | Absorbed Dose Equal to a Unit Equivalent dose (H)a/ |
X, gamma, or beta radiation and high-speed electrons | 1 | 1 |
Alpha particles, multiple-charged particles, fission fragments and heavy particles of unknown charge | 20 | 0.05 |
Neutrons (energy dependent) | 5-20 | 0.1 |
High energy protons > 2 MeV | 5 | 0.1 |
al Absorbed dose in gray equal to 1 Sv or the absorbed dose in rad equal to 1 rem.
Note: For radiations principally used in medical imaging (x-rays, gamma rays, beta particles) WT = 1, thus the absorbed dose and the equivalent dose are equal (i.e., 1Gy = 1 Sv). Adapted from the 1990 recommendations of the International Commission on Radiological Protection, ICRP Publication No. 60, Oxford: Pergammon 1991.
TABLE II
Mean Quality Factors, Q, And Fluence Per Unit Dose
Equivalent For Monoenergetic Neutrons
Neutron Energy (MeV) | Radiation Weighting Factor al | Fluence per Unit equivalent dose (H)bl (Neutrons cm-2 rem -1 | Fluence per Unit equivalent dose (H)bl (Neutrons cm -2 Sv-1) | |
(thermal) | ||||
2.5E-8 | 2 | 980E+6 | 980E+8 | |
1E-7 | 2 | 980E+6 | 980E+8 | |
1E-6 | 2 | 810E+6 | 810E+8 | |
1E-5 | 2 | 810E+6 | 810E+8 | |
1E-4 | 2 | 840E+6 | 840E+8 | |
1E-3 | 2 | 980E+6 | 980E+8 | |
1E-2 | 2.5 | 1010E+6 | 1010E+8 | |
1E-1 | 7.5 | 170E+6 | 170E+8 | |
5E-1 | 11 | 39E+6 | 39E+8 | |
1 | 11 | 27E+6 | 27E+8 | |
2.5 | 9 | 29E+6 | 29E+8 | |
5 | 8 | 23E+6 | 23E+8 | |
7 | 7 | 24E+6 | 24E+8 | |
10 | 6.5 | 24E+6 | 24E+8 | |
14 | 7.5 | 17E+6 | 17E+8 | |
20 | 8 | 16E+6 | 16E+8 | |
40 | 7 | 14E+6 | 14E+8 | |
60 | 5.5 | 16E+6 | 16E+8 | |
1E+2 | 4 | 20E+6 | 20E+8 | |
2E+2 | 3.5 | 19E+6 | 19E+8 | |
3E+2 | 3.5 | 16E+6 | 16E+8 | |
4E+2 | 3.5 | 14E+6 | 14E+8 |
a/ Value of radiation weighting factor at the point where the equivalent dose (H) is maximum in a 30-centimeter diameter cylinder tissue-equivalent phantom.
b/ Monoenergetic neutrons incident normally on a 30-centimeter diameter cylinder tissue-equivalent phantom.
Health Systems Protection
4465 Part A General Provisions
Except as otherwise specifically provided, these regulations apply to all persons who receive, possess, use, transfer, own, or acquire any source of ionizing radiation. However, nothing in these regulations except for registration of radiation machine facilities/sources as specified in Regulation 4465 Part B shall apply to any person to the extent such person is subject to regulation by the Nuclear Regulatory Commission. See 4465 Parts C & G of these regulations which pertain to radioactive materials licensing and federal oversight.
As used in these regulations, these terms have the definitions set forth below. Additional definitions used only in a certain Part will be found in that Part.
"A1" means the maximum activity of special form radioactive material permitted in a Type A package. "A2" means the maximum activity of radioactive material, other than special form radioactive material, permitted in a Type A package. These values are either listed in Appendix A of Part T of these regulations, Table I, or may be derived in accordance with the procedure prescribed in Appendix A of Part T of these regulations.
"Absorbed dose" means the energy imparted by ionizing radiation per unit mass of irradiated material. The units of absorbed dose are the gray (Gy) and the rad.
"Accelerator" means any machine capable of accelerating electrons, protons, deuterons, or other charged particles in a vacuum and of discharging the resultant particulate or other radiation into a medium at energies usually in excess of 1 MeV. For purposes of this definition, "particle accelerator" is an equivalent term.
"Accelerator-produced material" means any material made radioactive by a particle accelerator.
"Activity" means the rate of disintegration or transformation or decay of radioactive material. The units of activity are the becquerel (Bq) and the curie (Ci).
“Address of use” means the building or buildings that are identified on the permit (license) and where radioactive materials may be produced, prepared, received, used, or stored.
"Adult" means an individual 18 or more years of age.
“Agency” means the Division of Public Health, Delaware Department of Health and Social Services.
"Agreement State" means any State with which the Nuclear Regulatory Commission or the Atomic Energy Commission has entered into an effective agreement under subsection 274b. of the Atomic Energy Act of 1954, as amended (73 Stat. 689).
"Airborne radioactive material" means any radioactive material dispersed in the air in the form of dusts, fumes, particulates, mists, vapors, or gases.
"Airborne radioactivity area" means a room, enclosure, or area in which airborne radioactive materials exist in concentrations:
(1) In excess of the derived air concentrations (DAC's) specified in Appendix B, Table I of Part D of these regulations; or
(2) To such a degree that an individual present in the area without respiratory protective equipment could exceed, during the hours an individual is present in a week, an intake of 0.6 percent of the annual limit on intake (ALI) or 12 DAC-hours.
"Airline respirator" (see"Supplied-air respirator (SAR)").
"Air-purifying respirator" means a respirator with an air-purifying filter, cartridge, or canister that removes specific air contaminants by passing ambient air through the air-purifying element.
”As low as is reasonably achievable" (ALARA) means making every reasonable effort to maintain exposures to radiation as far below the dose limits in these regulations as is practical, consistent with the purpose for which the licensed or registered activity is undertaken, taking into account the state of technology, the economics of improvements in relation to state of technology, the economics of improvements in relation to benefits to the public health and safety, and other societal and socioeconomic considerations, and in relation to utilization of nuclear energy and licensed or registered sources of radiation in the public interest.
"Assigned Protection Factor (APF)" means the expected workplace level of respiratory protection that would be provided by a properly functioning respirator or a class of respirators to properly trained and fitted users. Operationally, the inhaled concentration can be estimated by dividing the ambient airborne concentration by the APF.
"Atmosphere-supplying respirator" means a respirator that supplies the respirator user with breathing air from a source independent of the ambient atmosphere, and includes supplied-air respirators (SAR’s) and self-contained breathing apparatus (SCBA) units.
“Authorized user” means a practitioner of the healing arts who is identified as an authorized user on an Agency, Agreement State, Licensing State or the Nuclear Regulatory Commission license that authorizes the medical use of radioactive material.
"Background radiation" means radiation from cosmic sources, naturally occurring radioactive material, (which has not been technologically enhanced) including radon, except as a decay product of source or special nuclear material, and including global fallout as it exists in the environment from the testing of nuclear explosive devices, or from past nuclear accidents such as Chernobyl that contribute to background radiation and are not under the control of the licensee or registrant. "Background radiation" does not include sources of radiation from radioactive materials regulated by the Agency.
"Becquerel" (Bq) means the Standard Internationale (SI) unit of activity. One becquerel is equal to 1 disintegration or transformation per second (dps or tps).
"Bioassay" means the determination of kinds, quantities or concentrations, and, in some cases, the locations of radioactive material in the human body, whether by direct measurement, in vivo counting, or by analysis and evaluation of materials excreted or removed from the human body. For purposes of these regulations, "radiobioassay" is an equivalent term.
"Brachytherapy" means a method of radiation therapy in which radiation sources are utilized to deliver a radiation dose at a distance of up to a few centimeters, by surface, intracavitary, intraluminal, or interstitial application.
"Byproduct material" means:
(1) Any radioactive material (except special nuclear material) yielded in, or made radioactive by, exposure to the radiation incident to the process of producing or using special nuclear material;
(2) The tailings or wastes produced by the extraction or concentration of uranium or thorium from ore processed primarily for its source material content, including discrete surface wastes resulting from uranium solution extraction processes. Underground ore bodies depleted by these solution extraction operations do not constitute "byproduct material" within this definition;
(3) (i) Any discrete source of radium-226 that is produced, extracted, or converted after extraction, before, on, or after August 8, 2005, for use for a commercial, medical, or research activity; or
(ii) Any material that—
(A) Has been made radioactive by use of a particle accelerator; and
(B) Is produced, extracted, or converted after extraction, before, on, or after August 8, 2005, for use for a commercial, medical, or research activity; and
(4) Any discrete source of naturally occurring radioactive material, other than source material, that—
(i) The Commission, in consultation with the Administrator of the Environmental Protection Agency, the Secretary of Energy, the Secretary of Homeland Security, and the head of any other appropriate Federal agency, determines would pose a threat similar to the threat posed by a discrete source of radium-226 to the public health and safety or the common defense and security; and
(ii) Before, on, or after August 8, 2005, is extracted or converted after extraction for use in a commercial, medical, or research activity.
"Calendar quarter" means not less than 12 consecutive weeks nor more than 14 consecutive weeks. The first calendar quarter of each year shall begin in January and subsequent calendar quarters shall be so arranged such that no day is included in more than one calendar quarter and no day in any one year is omitted from inclusion within a calendar quarter. The method observed by the licensee or registrant for determining calendar quarters shall only be changed at the beginning of a year.
"Calibration" means the determination of (1) the response or reading of an instrument relative to a series of known radiation values over the range of the instrument, or (2) the strength of a source of radiation relative to a standard.
"CFR" means Code of Federal Regulations.
“Chiropractic” means a drugless system of health care based on the principle that interference with the transmission of nerve impulses may cause disease, per Title 24 Delaware Code, Chapter 7, Board of Chiropractic, as amended.
"Collective dose" means the sum of the individual doses received in a given period of time by a specified population from exposure to a specified source of radiation.
"Committed dose equivalent" (HT.50) means the dose equivalent to organs or tissues of reference (T) that will be received from an intake of radioactive material by an individual during the 50-year period following the intake.
"Committed effective dose equivalent" (HE.50) is the sum of the products of the weighting factors (wT) applicable to each of the body organs or tissues that are irradiated and the committed dose equivalent to each of these organs or tissues (HE,50 = Σ wT HT,50).
“Controlled area” means an area, outside of a restricted but inside the site boundary, access to which can be limited by the licensee or registrant, for any reason.
“Critical group” means the group of individuals reasonably expected to receive the greatest exposure to residual radioactivity for any applicable set of circumstances.
"Curie" means the traditional unit of quantity of activity. One curie (Ci) is that quantity of radioactive material, which decays at the rate of 3.7E+10 disintegrations or transformations per second (dps or tps).
"Deep dose equivalent" (Hd), which applies to external whole body exposure, means the dose equivalent at a tissue depth of 1 centimeter (1000 mg/cm2).
"Demand respirator" means an atmosphere-supplying respirator that admits breathing air to the face piece only when a negative pressure is created inside the facepiece by inhalation
“Dentist” shall mean a person who is qualified to practice dentistry as prescribed in Title 24 Delaware Code, Chapter 11, Dentistry and Dental Hygiene, as amended.
"Department of Energy" means the Department of Energy established by Public Law 95-91, August 4, 1977, 91 Stat. 565, 42 U.S.C. Section 7101 as amended et seq., to the extent that the Department exercises functions formerly vested in the Atomic Energy Commission, its Chairman, members, officers and components and transferred to the Energy Research and Development Administration and to the Administrator thereof pursuant to sections 104(b), (c) and (d) of the Energy Reorganization Act of 1974 (Public Law 93-438, October 11, 1974, 88 Stat. 1233 at 1237, 42 U.S.C. 5814, effective January 19, 1975) and re-transferred to the Secretary of Energy pursuant to section 301(a) of the Department of Energy Organization Act (Public Law 95-91, August 4, 1977, 91 Stat. 565 at 577-578, 42 U.S.C. 7151, effective October 1, 1977 as amended.)
"Depleted uranium" means the source material uranium in which the isotope uranium-235 is less than 0.711 weight percent of the total uranium present. Depleted uranium does not include special nuclear material.
“Discrete Source” means a radionuclide that has been processed so that its concentration within a material has been purposely increased for use for commercial, medical, or research activities.
"Disposable respirator" means a respirator for which maintenance is not intended and that is designed to be discarded after excessive breathing resistance, sorbent exhaustion, physical damage, or end-of-service-life renders it unsuitable for use. Examples of this type of respirator are a disposable half-mask respirator or a disposable escape-only self-contained breathing apparatus (SCBA).
"Distinguishable from background" means that the detectable concentration of a radionuclide is statistically different from the background concentration of that radionuclide in the vicinity of the site or, in the case of structures, in similar materials using adequate measurement technology, survey, and statistical techniques.
"Dose" is a generic term that means absorbed dose, dose equivalent, effective dose equivalent, committed dose equivalent, committed effective dose equivalent, total organ dose equivalent, or total effective dose equivalent. For purposes of these regulations, "radiation dose" is an equivalent term.
"Dose equivalent (HT)" means the product of the absorbed dose in tissue, quality factor, and all other necessary modifying factors at the location of interest. The units of dose equivalent are the sievert (Sv) and rem.
"Dose limits" means the permissible upper bounds of radiation doses established in accordance with these regulations. For purposes of these regulations, "limits" is an equivalent term.
"Effective dose equivalent (HE)" means the sum of the products of the dose equivalent to the organ or tissue (HT) and the weighting factor (wT) applicable to each of the body organs or tissues that are irradiated (HE = Σ wTHT).
"Embryo/fetus" means the developing human organism from conception until the time of birth.
"Exposure" generally means being exposed to ionizing radiation or to radioactive material;
"Exposure Units" specifically as used in these regulations, the SI unit of exposure is coulomb per kilogram (C/kg), see Section A.9.1 of this Part for Units of Exposure and Dose.
"Exposure rate" means the exposure per unit of time, such as roentgen per minute or milliroentgen per hour.
"External dose" means that portion of the dose equivalent received from any source of radiation outside the body.
"Extremity" means hand, elbow, and arm below the elbow, foot, knee, and leg below the knee.
“Facility” means the location, building vehicle, or complex under one administrative control, at which one or more radiation sources are installed, located and/or used.
"Filtering facepiece (dust mask)" means a negative pressure particulate respirator with a filter as an integral part of the facepiece or with the entire facepiece composed of the filtering medium, not equipped with elastomeric sealing surfaces and adjustable straps.
"Fit factor" means a quantitative estimate of the fit of a particular respirator to a specific individual, and typically estimates the ratio of the concentration of a substance in ambient air to its concentration inside the respirator when worn.
"Fit Test" means the use of a protocol to qualitatively evaluate the fit of a respirator on an individual.
"Former Atomic Energy Commission or Nuclear Regulatory Commission licensed facilities" means nuclear reactors, nuclear fuel reprocessing plants, uranium enrichment plants, or critical mass experimental facilities where Atomic Energy Commission or Nuclear Regulatory Commission licenses have been terminated.
"Generally applicable environmental radiation standards" means standards issued by the Environmental Protection Agency under the authority of the Atomic Energy Act of 1954, as amended, that impose limits on radiation exposures or levels, or concentrations or quantities of radioactive material, in the general environment outside the boundaries of locations under the control of persons possessing or using radioactive material.
"Gray" (Gy) means the Standard Internationale (SI) unit of absorbed dose. One gray is equal to an absorbed dose of 1 joule per kilogram (100 rad).
"Hazardous waste" means those wastes designated as hazardous by the Environmental Protection Agency regulations in 40 CFR Part 261, as amended.
“Healing arts” includes but is not limited to the practice of medicine, surgery, dentistry, registered pharmacy, podiatry, osteopathy, chiropractic, or veterinary medicine or nursing.
“Healing arts screening” means the testing of human beings using x-ray machines for the detection or evaluation of health indications when such tests are not specifically and individually ordered by a licensed practitioner of the healing arts legally authorized to prescribe such x-ray tests for the purpose of diagnosis or treatment.
"Helmet" means a rigid respiratory inlet covering that also provides head protection against impact and penetration.
"High radiation area" means an area, accessible to individuals, in which radiation levels from radiation sources external to the body could result in an individual receiving a dose equivalent in excess of 1 mSv (0.1 rem) in 1 hour at 30 centimeters from any source of radiation or 30 centimeters from any surface that the radiation penetrates.
"Hood" means a respiratory inlet covering that completely covers the head and neck and may also cover portions of the shoulders and torso.
"Human use" means the internal or external administration of radiation or radioactive material to human beings.
"Individual" means any human being.
"Individual monitoring" means the assessment of:
(1) Dose equivalent (a) by the use of individual monitoring devices or (b) by the use of survey data; or
(2) Committed effective dose equivalent (a) by bioassay or (b) by determination of the time-weighted air concentrations to which an individual has been exposed, that is, DAC-hours. [See the definition of DAC-hours in 4465 Part D of these regulations.]
(3) Dose equivalent by the use of survey data.
"Individual monitoring devices" means devices designed to be worn by a single individual for the assessment of dose equivalent. For purposes of these regulations, "personnel dosimeter" and "dosimeter" are equivalent terms. Examples of individual monitoring devices are film badges, thermoluminescence dosimeters (TLDs), pocket ionization chambers, optically stimulated luminescence (OSL) dosimeters and personal (lapel) air sampling devices.
"Inspection" means an official examination or observation including, but not limited to, tests, surveys, and monitoring to determine compliance with rules, regulations, orders, requirements, and conditions of the Agency.
"Instrument traceability" (for ionizing radiation measurements) means the ability to show that an instrument has been calibrated at specified time intervals using a national standard or a transfer standard. If a transfer standard is used, the calibration must be at a laboratory accredited by a program, which requires continuing participation in measurement quality assurance with the National Institute of Standards and Technology, or other equivalent national or international program.
"Interlock" means a device arranged or connected such that the occurrence of an event or condition is required before a second event or condition can occur or continue to occur.
"Internal dose" means that portion of the dose equivalent received from radioactive material taken into the body.
"JRCECT" means Joint Review Committee on Education in Cardiovascular Technology
“JRCNMT” means Joint Review Committee on Nuclear Medicine Technology
"JRCERT" means Joint Review Committee on Education in Radiologic Technology
"Lens dose equivalent (LDE)" means the external exposure to the lens of the eye as the dose equivalent at a tissue depth of 0.3 centimeter (300 mg/cm2).
"License" means a license issued by the US Nuclear Regulatory Commission, Agreement State, or the Agency, in accordance with applicable federal or state regulations, as amended.
“Licensed Practitioner” means a physician licensed to practice medicine, dentistry, podiatry, chiropractic, osteopathy, or veterinary medicine in this state.
"Licensed [or registered] material" means radioactive material received, possessed, used, transferred or disposed of under a general or specific license [or registration] issued by the Agency.
"Licensee" means the holder of a license.
"Limits" [See "Dose limits"].
"Loose-fitting facepiece" means a respiratory inlet covering that is designed to form a partial seal with the face.
"Lost or missing source of radiation" means licensed [or registered] source of radiation whose location is unknown. This definition includes, but is not limited to, radioactive material that has been shipped but has not reached its planned destination and whose location cannot be readily traced in the transportation system.
"Major processor" means a user processing, handling, or manufacturing radioactive material exceeding Type A quantities as unsealed sources or material, or exceeding 4 times Type B quantities as sealed sources, but does not include nuclear medicine programs, universities, industrial radiographers, or small industrial programs. Type A and B quantities are defined in T.2 of these regulations.
"Member of the public" means any individual except when that individual is receiving an occupational dose.
"Minor" means an individual less than 18 years of age.
“Misadministration” means an event that meets the criteria in 4465 Part X, Therapeutic Radiation Machines, Section 5.2 of these regulations.
"Monitoring" means the measurement of radiation, radioactive material concentrations, surface area activities or quantities of radioactive material and the use of the results of these measurements to evaluate potential exposures and doses. For purposes of these regulations, "radiation monitoring" and "radiation protection monitoring" are equivalent terms.
"Natural radioactivity" means radioactivity of naturally occurring nuclides.
"Negative pressure respirator (tight fitting)" means a respirator in which the air pressure inside the facepiece is negative during inhalation with respect to the ambient air pressure outside the respirator.
"NORM" means any naturally occurring radioactive material. It does not include byproduct, source, or special nuclear material.
"NRC" means the US Nuclear Regulatory Commission or its duly authorized representatives.
“Notice of Violation” means a written statement of one or more alleged infringements of a legally binding requirement. The notice normally requires the licensee, registrant or other permit holder to provide a written statement describing the following:
(1) Corrective steps taken by the licensee, registrant or other permit holder and the results achieved;
(2) Corrective steps to be taken to prevent recurrence; and
(3) The projected date for achieving full compliance. The Authority may require responses to notices of violation to be under oath.
"Occupational dose" means the dose received by an individual in the course of employment in which the individual's assigned duties for the licensee or registrant involve exposure to sources of radiation, whether or not the sources of radiation are in the possession of the licensee, registrant, or other person. Occupational dose does not include doses received from background radiation, or from any medical administration the individual has received, from exposure to individuals administered radioactive material and released in accordance with U.S. Nuclear Regulatory Commission Regulations, from voluntary participation in medical research programs, or as a member of the public.
“Office of Engineering” means the office in the Delaware Division of Public Health that reviews radiation shielding plans and/or design plans and issues an Approval to Construct letter for new radiation source facilities or rooms.
“Office of Radiation Control” means the office in the Delaware Division of Public Health which carries out the Delaware Radiation Control Regulations, issues radiation source facility registration permits, and performs on-site inspections of new and existing radiation machine facilities to determine compliance.
“Owner/Leasee” means the person/individual who owns/leases the radiation source. An out-of-state owner shall authorize a manager to sign the application form.
"Package" means the packaging together with its radioactive contents as presented for transport.
"Particle accelerator" [See "Accelerator"].
"Person" means any individual, corporation, partnership, firm, association, trust, estate, public or private institution, group, agency, political subdivision of this State, any other State or political subdivision or agency thereof, and any legal successor, representative, agent, or agency of the foregoing, [but shall not include federal government agencies].
"Personnel monitoring equipment" [See "Individual monitoring devices"].
"Physician" means an allopathic doctor of medicine and surgery or a doctor of osteopathic medicine and surgery who is registered and certified to practice medicine pursuant to Title 24 Delaware Code, Chapter 17, Medical Practice Act, as amended.
“Podiatrist” means a person who is qualified to practice podiatry and is licensed under Title 24 Delaware Code, Chapter 5, Podiatry, as amended.
"Positive pressure respirator" means a respirator in which the pressure inside the respiratory inlet covering exceeds the ambient air pressure outside the respirator.
"Powered air-purifying respirator (PAPR)" means an air-purifying respirator that uses a blower to force the ambient air through air-purifying elements to the inlet covering.
"Pressure demand respirator" means a positive pressure atmosphere-supplying respirator that admits breathing air to the facepiece when the positive pressure is reduced inside the facepiece by inhalation.
“Principal Supervisor” means the State-Licensed Practitioner responsible for initiating use of x-ray equipment or other device generating ionizing radiation in the healing arts.
"Protective apron" means an apron made of radiation-attenuating materials used to reduce exposure to radiation.
"Public dose" means the dose received by a member of the public from exposure to sources of radiation released by the licensee or registrant, or to any other source of radiation under the control of the licensee or registrant. Public dose does not include occupational dose, or doses received from background radiation, from any medical administration the individual has received, from exposure to individuals administered radioactive material and released in accordance with U.S. Nuclear Regulatory Commission Regulations, or from voluntary participation in medical research programs.
“Qualified expert” means an individual who has satisfactorily fulfilled the training and experience requirements consistent with achieving a level of competency sufficient to function effectively in the position for which registration is sought. Such individuals must demonstrate to the satisfaction of the Agency their qualifications, for example, individuals certified in the appropriate field by the American Board of Radiology, or the American Board of Health Physics, or the American Board of Medical Physics, or those having equivalent qualifications. With reference to the calibration of radiation therapy equipment, an individual, in addition to the above qualifications, must be qualified in accordance with 4465 Part F and 4465 Part X of these regulations, as amended.
“Qualified Medical Physicist” means an individual qualified in accordance with Regulation 4465, Part X, Therapeutic Radiation Machines, Section 3.4, as amended.
"Qualitative fit test (QLFT)" means a pass/fail fit test to assess the adequacy of respirator fit that relies on the individual’s response to the test agent.
"Quality factor" (Q) means the modifying factor, listed in Tables I and II of A.13, that is used to derive dose equivalent from absorbed dose.
"Quantitative fit test (QNFT)" means an assessment of the adequacy of respirator fit by numerically measuring the amount of leakage into the respirator.
"Rad" means the traditional unit of absorbed dose. One rad is equal to an absorbed dose of 100 erg per gram or 0.01 joule per kilogram (0.01 gray).
"Radiation" means alpha particles, beta particles, gamma rays, x rays, neutrons, high-speed electrons, high-speed protons, and other particles capable of producing ions. For purposes of these regulations, ionizing radiation is an equivalent term. Radiation, as used in these regulations, does not include non-ionizing radiation, such as radiowaves or microwaves, visible, infrared, or ultraviolet light.
"Radiation area" means any area, accessible to individuals, in which radiation levels could result in an individual receiving a dose equivalent in excess of 0.05 mSv (0.005 rem) in 1 hour at 30 centimeters from the source of radiation or from any surface that the radiation penetrates.
"Radiation dose" [See "Dose"].
"Radiation machine" means any device capable of producing ionizing radiation except those devices with radioactive material as the only source of radiation.
“Radiation Safety Officer” or RSO for a radiation machine facility means an individual assigned to perform RSO duties who has training and experience in the safe and effective use of radiation machines, their potential radiation hazards, and emergency precautions applicable to the type of activity or facility to which the RSO is assigned.
"Radiation Technician" means any individual who has not graduated from an approved program in radiation technology, but has passed an Authority approved examination.
"Radiation Technologist" means any individual who has successfully completed a JRCERT/JRCCVT approved program in radiation technology and has passed a national certification examination in his/her field of specialization.
"Radiation Technology" means the use of a radioactive substance or equipment emitting ionizing radiation on humans for diagnostic or therapeutic purposes.
"Radioactive material" means any solid, liquid or gas which emits radiation spontaneously.
"Radioactivity" means the transformation of unstable atomic nuclei by the emission of radiation.
"Radiobioassay" [See "Bioassay"].
"Registrant" means any person who is registered with the Agency and is legally obligated to register with the Agency pursuant to these regulations and the Act.
"Registration" means registration with the Agency in accordance with the regulations adopted by the Agency.
"Regulations of the Department of Transportation" means the regulations in 49 CFR Parts 100-189, as amended.
"Rem" means the traditional unit of any of the quantities expressed as dose equivalent. The dose equivalent in rem is equal to the absorbed dose in rad multiplied by the quality factor. (1 rem = 0.01 Sv)
"Research and development" means (1) theoretical analysis, exploration, or experimentation; or (2) the extension of investigative findings and theories of a scientific or technical nature into practical application for experimental and demonstration purposes, including the experimental production and testing of models, devices, equipment, materials, and processes. Research and development does not include the internal or external administration of radiation or radioactive material to human beings in the healing arts.
"Residual radioactivity" means radioactivity in structures, materials, soils, groundwater, and other media at a site resulting from activities under the licensee’s control. This includes radioactivity from all licensed and unlicensed sources used by the licensee, but excludes background radiation. It also includes radioactive materials remaining at the site as a result of routine or accidental releases of radioactive materials at the site and previous burials at the site, even if those burials were made in accordance with the provisions of Part D of these regulations.
"Restricted area" means an area, access to which is limited by the licensee or registrant for the purpose of protecting individuals against undue risks from exposure to sources of radiation. Restricted area does not include areas used as residential quarters, but separate rooms in a residential building may be set apart as a restricted area.
"Roentgen" means the traditional unit of exposure. One roentgen (R) equals 2.58E-4 coulombs per kilogram of air (see "Exposure" and Part A.9.1 of this part.)
“State Radiation Control Act” or “the Act” means Title 16 Delaware Code, Chapter 74, Radiation Control, as amended.
"Sealed source" means any encapsulated radioactive material, which has been constructed in such a manner as to prevent the escape of any radioactive material.
"Sealed Source and Device Registry (SSD)" means the national registry that contains the registration certificates, maintained by the Nuclear Regulatory Commission (NRC), that summarize the radiation safety information for sealed sources and devices, and describe the licensing and use conditions approved for the product.
"Self-contained breathing apparatus (SCBA)" means an atmosphere-supplying respirator for which the breathing air source is designed to be carried by the user.
"Shallow dose equivalent" (Hs), which applies to the external exposure of the skin or an extremity, means the dose equivalent at a tissue depth of 0.007 centimeter (7 mg/cm2) averaged over the contiguous 10 square centimeters of skin receiving the highest exposure.
"SI" means the abbreviation for Standard Internationale, the International Metric System of Measurement.
"Sievert" means the Standard Internationale (SI) unit of any of the quantities expressed as dose equivalent. The dose equivalent in sievert is equal to the absorbed dose in gray multiplied by the quality factor. (1 Sv = 100 rem)
"Source material" means:
(1) Uranium or thorium, or any combination thereof, in any physical or chemical form; or
(2) Ores that contain by weight one-twentieth of 1 percent (0.05 percent) or more of uranium, thorium or any combination of uranium and thorium. Source material does not include special nuclear material.
"Source material milling" means any activity that results in the production of byproduct material as defined by definition (2) of byproduct material, of this part.
"Source of radiation" means any radioactive material or any device or equipment emitting, or capable of producing, radiation.
"Source traceability" means the ability to show that a radioactive source has been calibrated either by the national standards laboratory of the National Institute of Standards and Technology, or by a laboratory which participates in a continuing measurement quality assurance program with National Institute of Standards and Technology or other equivalent national or international program.
"Special form radioactive material" means radioactive material that satisfies the following conditions:
(1) It is either a single solid piece or is contained in a sealed capsule that can be opened only by destroying the capsule;
(2) The piece or capsule has at least one dimension not less than 5 millimeters (0.2 inch); and
(3) It satisfies the test requirements specified by the Nuclear Regulatory Commission. A special form encapsulation designed in accordance with the Nuclear Regulatory Commission requirements in effect on June 30, 1983, and constructed prior to July 1, 1985, may continue to be used. A special form encapsulation either designed or constructed after June 30, 1985, must meet requirements of this definition applicable at the time of its design or construction.
"Special nuclear material" means:
(1) Plutonium, uranium-233, uranium enriched in the isotope 233 or in the isotope 235, and any other material that the Nuclear Regulatory Commission, pursuant to the provisions of section 51 of the Atomic Energy Act of 1954, as amended, determines to be special nuclear material, but does not include source material; or
(2) Any material artificially enriched by any of the foregoing but does not include source material.
"Special nuclear material in quantities not sufficient to form a critical mass" means uranium enriched in the isotope U-235 in quantities not exceeding 350 grams of contained U-235; uranium-233 in quantities not exceeding 200 grams; plutonium in quantities not exceeding 200 grams; or any combination of them in accordance with the following formula: For each kind of special nuclear material, determine the ratio between the quantity of that special nuclear material and the quantity specified above for the same kind of special nuclear material. The sum of such ratios for all of the kinds of special nuclear material in combination shall not exceed 1. For example, the following quantities in combination would not exceed the limitation and are within the formula:
“Standard Internationale (SI)” means the international metric systems of measurement.
"Supplied-air respirator (SAR)" means an atmosphere-supplying respirator for which the source of breathing air is not designed to be carried by the user.
"Survey" means an evaluation of the radiological conditions and potential hazards incident to the production, use, transfer, release, disposal, or presence of sources of radiation. When appropriate, such evaluation includes, but is not limited to, tests, physical examinations, and measurements of levels of radiation or concentrations of radioactive material present.
"Test" means the process of verifying compliance with an applicable regulation.
"These regulations" means all parts of The Delaware Radiation Control Regulations 4465, as amended.
"Tight-fitting facepiece" means a respiratory inlet covering that forms a complete seal with the face.
"Total effective dose equivalent" (TEDE) means the sum of the deep dose equivalent for external exposures and the committed effective dose equivalent for internal exposures.
"Total organ dose equivalent" (TODE) means the sum of the deep dose equivalent and the committed dose equivalent to the organ receiving the highest dose as described in D.1107a.vi. of these regulations.
"Traceable to a National Standard" [See "Instrument traceability" or "Source traceability"].
"Unrefined and unprocessed ore" means ore in its natural form prior to any processing such as grinding, roasting, beneficiating, or refining.
"Unrestricted area" means an area, access to which is neither limited nor controlled by the licensee or registrant. For purposes of these regulations, "uncontrolled area" is an equivalent term.
"User seal check (fit check)" means an action conducted by the respirator user to determine if the respirator is properly seated to the face. Examples include negative pressure check, positive pressure check, irritant smoke check, or isoamyl acetate check.
"Very high radiation area" means an area, accessible to individuals, in which radiation levels from radiation sources external to the body could result in an individual receiving an absorbed dose in excess of 5 Gy (500 rad) in 1 hour at 1 meter from a source of radiation or 1 meter from any surface that the radiation penetrates.12/
“Veterinarian” shall mean a person who has received a degree in veterinary medicine from a school of veterinary medicine, per Title 24 Delaware Code, Chapter 33, Veterinarians, as amended.
"Waste" means those low-level radioactive wastes that are acceptable for disposal in a land disposal facility. For the purposes of this definition, low-level waste has the same meaning as in the Low-Level Radioactive Waste Policy Act, P.L. 96-573, as amended by P.L. 99-240, effective January 15, 1986; that is, radioactive waste (a) not classified as high-level radioactive waste, spent nuclear fuel, or byproduct material as defined in Section 11e.(2) of the Atomic Energy Act, as amended (uranium or thorium tailings and waste) and (b) classified as low-level radioactive waste consistent with existing law and in accordance with (a) by the Nuclear Regulatory Commission.
"Waste handling licensees" mean persons licensed to receive and store radioactive wastes prior to disposal and/or persons licensed to dispose of radioactive waste.
"Week" means 7 consecutive days starting on Sunday.
"Whole body" means, for purposes of external exposure, head, trunk including male gonads, arms above the elbow, or legs above the knee.
"Worker" means an individual engaged in activities under a license or registration issued by the Agency and controlled by a licensee or registrant, but does not include the licensee or registrant.
"Working level" (WL) means any combination of short-lived radon daughters in 1 liter of air that will result in the ultimate emission of 1.3E+5 MeV of potential alpha particle energy. The short-lived radon daughters of radon-222 are polonium-218, lead-214, bismuth-214, and polonium-214; and those of radon-220 are polonium-216, lead-212, bismuth-212, and polonium-212.
"Working level month" (WLM) means an exposure to 1 working level for 170 hours. 2,000 working hours per year divided by 12 months per year is approximately equal to 170 hours per month.
"Year" means the period of time beginning in January used to determine compliance with the provisions of these regulations. The licensee or registrant may change the starting date of the year used to determine compliance by the licensee or registrant provided that the change is made at the beginning of the year. If a licensee or registrant changes in a year, the licensee or registrant shall assure that no day is omitted or duplicated in consecutive years.
3.1 Exemptions. An exemption may be granted by the Agency if, based on documented and publicly available information, the Agency has verified that the proposed exempted practice or equipment does not pose any danger to the applicant, his employees or any others coming into contact with the exempted practice or equipment. An exemption request that deviates from accepted standards as specified in the regulations, such that the safe use of said practice or equipment cannot be supported by extraneous documented and publicly available information must be referred to the Authority on Radiation Protection for consideration.
3.1.1 General Provision. The Agency as the Agent for the Authority on Radiation Protection may, upon application or upon its own initiative, grant such exemptions or exceptions from the requirements of the regulations as it determines are authorized by law and will not result in undue hazard to public health and safety or property.
3.1.2 Department of Energy Contractors and Nuclear Regulatory Commission Contractors. Any Department of Energy contractor or subcontractor and any Nuclear Regulatory Commission contractor or subcontractor of the following categories operating within this State is exempt from the regulations to the extent that such contractor or subcontractor under his contract receives, possesses, uses, transfers, or acquires sources of radiation:
3.1.2.1 Prime contractors performing work for the Department of Energy at U.S. Government-owned or -controlled sites, including the transportation of sources of radiation to or from such sites and the performance of contract services during temporary interruptions of such transportation;
3.1.2.2 Prime contractors of the Department of Energy performing research in, or development, manufacture, storage, testing, or transportation of, atomic weapons or components thereof;
3.1.2.3 Prime contractors of the Department of Energy using or operating nuclear reactors or other nuclear devices in a United States Government-owned vehicle or vessel; and
3.1.2.4 Any other prime contractor or subcontractor of the Department of Energy or of the Nuclear Regulatory Commission when the State and the Nuclear Regulatory Commission jointly determine:
3.1.2.4.1 That the exemption of the prime contractor or subcontractor is authorized by law; and
3.1.2.4.2 That, under the terms of the contract or subcontract, there is adequate assurance that the work thereunder can be accomplished without undue risk to the public health and safety.
4.1 Records. Each licensee and registrant shall maintain records showing the receipt, transfer, and disposal of all sources of radiation. Additional record requirements are specified elsewhere in the regulations.
4.2 Inspections
4.2.1 Each licensee and registrant shall afford the Agency at all reasonable times opportunity to inspect sources of radiation and the premises and facilities wherein such sources of radiation are used or stored.
4.2.2 Each licensee and registrant shall make available to the Agency for inspection, upon reasonable notice, records maintained pursuant to the regulations.
4.3 Tests. Each licensee and registrant shall perform upon instructions from the Agency, or shall permit the Agency to perform, such reasonable tests as the Agency deems appropriate or necessary including, but not limited to, tests of:
4.3.1 Sources of radiation;
4.3.2 Facilities wherein sources of radiation are used or stored;
4.3.3 Radiation detection and monitoring instruments; and
4.3.4 Other equipment and devices used in connection with utilization or storage of licensed or registered sources of radiation.
The Authority through the Agency may, by rule, regulation, or order, impose upon any licensee or registrant such requirements in addition to those established in the regulations as it deems appropriate or necessary to minimize danger to public health and safety or property.
6.1 Violations. An injunction or other court order may be obtained prohibiting any violation of any provision of the State Radiation Control Act, as amended or any regulation or order issued thereunder. The Authority may request the Attorney General to make application to the Court of Chancery for an order enjoining any acts or practices which constitute or will constitute a violation of any provision of this chapter or any rule, regulation or order issued thereunder.
6.2 Impounding. Sources of radiation shall be subject to impoundment pursuant to Title 16 Delaware Code, Section 7415 of the State Radiation Control Act, as amended.
6.3 Prohibited Uses
6.3.1 A hand-held fluoroscopic screen shall not be used with x-ray equipment unless it has been listed in the Registry of Sealed Source and Devices or accepted for certification by the Food and Drug Administration, Center for Devices and Radiological Health.
6.3.2 A shoe-fitting fluoroscopic device shall not be used.
6.3.3 A closed end PID (conical position indicating device) shall not be used.
6.3.4 A source of radiation shall not be abandoned.
6.4 Penalties. In addition to any other remedies available to the Authority – the Authority may assess an administrative penalty in an amount not to exceed $500 for a first offense, an amount not to exceed $750 for a subsequent offense. Each violation of this chapter or rules, regulations or orders shall be considered a separate offense.
Except as specifically authorized by the Agency in writing, no interpretation of the regulations by an officer or employee of the Agency other than a written interpretation by the Authority on Radiation Protection will be recognized to be binding upon the Agency.
All communications and reports concerning the regulations, and applications filed thereunder, should be addressed to the Agency at its Office of Radiation Control, Division of Public Health, 417 Federal Street, Dover, DE 19901.
9.1 As used in these regulations, the unit of exposure is the coulomb per kilogram (C/kg) of air. One roentgen is equal to 2.58E-4 coulomb per kilogram of air.
9.2 As used in these regulations, the units of dose are:
9.2.1 Gray (Gy) is the SI unit of absorbed dose. One gray is equal to an absorbed dose of 1 joule per kilogram (100 rad).
9.2.2 Rad is the traditional unit of absorbed dose. One rad is equal to an absorbed dose of 100 erg per gram or 0.01 joule per kilogram. (0.01 Gy)
9.2.3 Rem is the traditional unit of any of the quantities expressed as dose equivalent. The dose equivalent in rem is equal to the absorbed dose in rad multiplied by the quality factor. (1 rem = 0.01 Sv)
9.2.4 Sievert is the SI unit of any of the quantities expressed as dose equivalent. The dose equivalent in sievert is equal to the absorbed dose in gray multiplied by the quality factor. (1 Sv = 100 rem)
9.3 As used in these regulations, the quality factors for converting absorbed dose to dose equivalent are shown in Table I:
Type of Radiation | Quality Factor (Q) | Absorbed Dose Equal to a Unit Dose Equivalenta/ |
X, gamma, or beta radiation and high-speed electrons | 1 | 1 |
Alpha particles, multiple-charged particles, fission fragments and heavy particles of unknown charge | 20 | 0.05 |
Neutrons of unknown energy | 10 | 0.1 |
High-energy protons | 10 | 0.1 |
a/ Absorbed dose in gray equal to 1 Sv or the absorbed dose in rad equal to 1 rem. | ||
9.4 If it is more convenient to measure the neutron fluence rate than to determine the neutron dose equivalent rate in sievert per hour or rem per hour, as provided in A.13c., 0.01 Sv (1 rem) of neutron radiation of unknown energies may, for purposes of these regulations, be assumed to result from a total fluence of 25 million neutrons per square centimeter incident upon the body. If sufficient information exists to estimate the approximate energy distribution of the neutrons, the licensee or registrant may use the fluence rate per unit dose equivalent or the appropriate Q value from Table II to convert a measured tissue dose in gray or rad to dose equivalent in sievert or rem.
Neutron Energy (MeV) | Quality Factora/ (Q) | Fluence per Unit Dose Equivalentb/ (Neutrons cm-2 rem -1) | Fluence per Unit Dose Equivalentb/ (Neutrons cm-2 Sv-1) | |
(thermal) | 2.5E-8 | 2 | 980E+6 | 980E+8 |
1E-7 | 2 | 980E+6 | 980E+8 | |
1E-6 | 2 | 810E+6 | 810E+8 | |
1E-5 | 2 | 810E+6 | 810E+8 | |
1E-4 | 2 | 840E+6 | 840E+8 | |
1E-3 | 2 | 980E+6 | 980E+8 | |
1E-2 | 2.5 | 1010E+6 | 1010E+8 | |
1E-1 | 7.5 | 170E+6 | 170E+8 | |
5E-1 | 11 | 39E+6 | 39E+8 | |
1 | 11 | 27E+6 | 27E+8 | |
2.5 | 9 | 29E+6 | 29E+8 | |
5 | 8 | 23E+6 | 23E+8 | |
7 | 7 | 24E+6 | 24E+8 | |
10 | 6.5 | 24E+6 | 24E+8 | |
14 | 7.5 | 17E+6 | 17E+8 | |
20 | 8 | 16E+6 | 16E+8 | |
40 | 7 | 14E+6 | 14E+8 | |
60 | 5.5 | 16E+6 | 16E+8 | |
1E+2 | 4 | 20E+6 | 20E+8 | |
2E+2 | 3.5 | 19E+6 | 19E+8 | |
3E+2 | 3.5 | 16E+6 | 16E+8 | |
4E+2 | 3.5 | 14E+6 | 14E+8 | |
a/ Value of quality factor (Q) at the point where the dose equivalent is maximum in a 30-centimeter diameter cylinder tissue-equivalent phantom. | ||||
b/ Monoenergetic neutrons incident normally on a 30-centimeter diameter cylinder tissue-equivalent phantom. | ||||
10.1 For purposes of these regulations, activity is expressed in the SI unit of becquerel (Bq) or in the special unit of curie (Ci), or their multiples, or disintegrations or transformations per unit of time.
10.2 One becquerel (Bq) = 1 disintegration or transformation per second (dps or tps).
10.3 One curie (Ci) = 3.7E+10 disintegrations or transformations per second (dps or tps) = 3.7E+10 becquerel (Bq) = 2.22E+12 disintegrations or transformations per minute (dpm or tpm).
4481 Registration of Radiation Source Facilities and Services
[Previously Referenced as Part B]
1.1 This Part provides for the registration of ionizing radiation source facilities and for the registration of persons providing radiation source installation, servicing, and/or services.
1.2 In addition to the requirements of this regulation, all registrants are subject to the applicable provisions of the General Provisions (Regulation 4480), Standards for Protection (Regulation 4483), and Notices, Instructions and Reports (Regulation 4489) and Compliance Procedures (Regulation 4490). In addition, some registrants are subject to provisions of the regulations for Industrial Radiography (Regulation 4484), Healing Arts (Regulation 4485), Analytical Equipment (Regulation 4487) or Particle Accelerators (Regulation 4488) and Therapeutic Radiation Machines (Regulation 4492).
“Facility” means the location, building, vehicle, or complex under one administrative control, at which one or more radiation sources are installed, located and/or used.
“Manager” means the individual working at the facility who is authorized by the owner to sign the application form as the applicant.
“Owner” means the person/individual who owns/leases the radiation source. An out-of-state owner shall authorize a manager to sign the application form.
“Radiation source” see source of radiation.
“Source of radiation” means any radioactive material or any device or equipment emitting, or capable of producing, radiation.
“Storage” means a condition in which a device or source is not being used for an extended period of time, and has been made inoperable and shall be tagged by the Agency.
3.1 Electronic equipment that produces radiation incidental to its operation for other purposes is exempt from the registration and notification requirements of this regulation, provided that the equivalent dose averaged over an area of 10 square centimeters does not exceed 5 µSv (0.5 millirem) per hour at 5 centimeters from any accessible surface of such equipment. The production, testing, or factory servicing of such equipment shall not be exempt.
3.2 Radiation sources while in transit or storage incident thereto are exempt from the requirements of this regulation.
3.3 Domestic television receivers are exempt from the requirements of this regulation.
General Regulatory Provisions
4.1 Prior to construction, the floor plans, shielding specifications and equipment arrangement of all new installations, or modifications of existing installations, utilizing ionizing radiation sources shall be submitted to the Agency for review and approval. The required information is denoted in Appendices A and B of this regulation and Regulation 492, Appendix A, for radiation therapeutic sources.
4.2 The Agency may require the applicant to utilize the services of a qualified expert who is registered with the Agency [Regulation 481, section 6.0, as applicable] to determine the shielding requirements prior to the plan review and approval. The registered consultant shall provide the shielding requirements on Form R15A or equivalent.
4.3 The issuance of a certificate of approval of such plans shall not preclude the requirement of additional modifications should a subsequent analysis of operating conditions indicate the possibility of an individual receiving a dose in excess of the limits prescribed in Regulations 4483, sections 6, 11, 12, 13 and 14, (formerly referenced as section D.201, 207, 208 and 301) of the regulations.
4.4 After installation of a radiation source, the registrant shall maintain for inspection by the Agency:
4.4.1 The maximum rated technique factors of each source;
4.4.2 A scale drawing of the room in which a stationary radiation source system is located with such drawing indicating the use of areas adjacent to the room and an estimation of the extent of occupancy by an individual in such areas. In addition, the drawing shall include:
4.4.2.1 The results of a survey for radiation levels present at the operator's position and at pertinent points outside the room at specified test conditions; or
4.4.2.2 The type and thickness of materials, or lead equivalency, of each protective barrier.
5.1 Each person having a radioactive material shall:
5.1.1 Apply for registration of such facility with the Agency prior to the receipt, possession, use, transfer, ownership or acquisition of the radioactive material. Application for registration shall be completed on forms furnished by the Agency.
5.1.2 Designate on the application form an individual to be responsible for radiation protection, address of the facility, and for the radioactive material; element name, atomic mass, chemical or physical form and maximum amount to be possessed at any one time.
5.2 Each person having a radiation machine facility shall:
5.2.1 Apply for registration of such facility with the Agency prior to the operation of a radiation source facility. Application for registration shall be completed on forms furnished by the Agency and shall contain all the information required by the form and accompanying instructions;
5.2.2 Designate on the application form (see Regulation 4490) an individual to be responsible for radiation protection;
5.3 Prohibit any person from furnishing radiation source servicing or services as described in section 6.4. to his radiation source facility until such person provides evidence that he has been registered with the Agency as a provider of services in accordance with section 6.4.
6.1 Each person who is engaged in the business of installing or offering to install radiation sources or is engaged in the business of furnishing or offering to furnish radiation source servicing or services in this State shall apply for registration of such services with the Agency.
6.2 Application for registration shall be completed on forms furnished by the Agency and shall contain all information required by the Agency as indicated on the forms and accompanying instructions.
6.3 Each person applying for registration under this regulation shall specify:
6.3.1 That he has read and understands the requirements of this and other applicable regulations;
6.3.2 The training and experience that qualify him to discharge the services for which he is applying for registration;
6.3.3 The type of measurement instruments to be used, frequency of calibration, and source of calibration; and
6.3.4 The type of personnel dosimeters supplied, frequency of reading, and replacement or exchange schedule.
6.4 For the purpose of section 6., services may include but shall not be limited to:
6.4.1 Installation and/or servicing of radiation sources and associated radiation source components;
6.4.2 Calibration of radiation source or radiation measurement instruments or devices;
6.4.3 Radiation protection or health physics consultations or surveys; and
6.4.4 Personnel dosimetry services.
6.4.5 Leak test of sealed sources.
6.4.6 Practice as Radiation Therapy Physicist.
6.5 No individual shall perform services which are not specifically stated for that individual on the notice of registration issued by the Agency.
7.1 Upon a determination that an applicant meets the requirements of the regulations, the Agency shall issue a notice of registration.
7.2 The Agency may incorporate in the notice of registration at the time of issuance or thereafter by appropriate rule, regulation, or order, such additional requirements and conditions with respect to the registrant's receipt, possession, use, and transfer of ownership responsibility of (Form R25) radiation sources as it deems appropriate or necessary.
Except as provided by section 9, below., each notice of registration shall expire at the end of the specified day in the month and year stated therein.
9.1 Application for renewal of registration shall be filed in accordance with sections 5.0 or 6.0.
9.2 In any case in which a registrant not less than 30 days prior to the expiration of his existing notice of registration has filed an application in proper form for renewal, such existing notice of registration shall not expire until the application status has been finally determined by the Agency.
The registrant shall notify the Agency in writing before making any change which would render the information contained in the application for registration and/or the notice of registration no longer accurate.
No person, in any advertisement, shall refer to the fact that he or his facility is registered with the Agency pursuant to the provisions of sections 5.0 or 6.0, and no person shall state or imply that any activity under such registration has been approved by the Agency.
12.1 Any person who sells, leases, transfers, lends, disposes, assembles, or installs radiation sources in this State shall notify the Agency within 15 days of:
12.1.1 The name and address of persons who have received these sources;
12.1.2 The manufacturer, model, and serial number of each radiation sources transferred; and
12.1.3 The date of transfer of each radiation source.
12.2 No person shall make, sell, lease, transfer, lend, assemble, or install radiation sources or the supplies used in connection with such machines unless such supplies and equipment when properly placed in operation and used shall meet the requirements of the regulations.
13.1 Whenever any radiation source is to be brought into the State, for any temporary use, the person proposing to bring such source into the State shall give written notice to the Agency at least 2 working days before such machine is to be used in the State. The notice shall include:
13.1.1 The number(s) and type(s) of radiation source(s);
13.1.2 The nature, start date, duration, and scope of use;
13.1.3 The exact location(s) where the radiation source is to be used; and
13.1.4 the name(s) of the Delaware licensed practitioner(s) and their professional license number(s) if the sources are used to irradiate human beings;
13.1.5 a copy of the person's home state registration or equivalent document; and
13.1.6 the name(s) and address(es) where the source user(s) can be reached while in the state.
13.2 If, for a specific case, the 2 working-day period would impose an undue hardship on the person, upon application to the Agency, permission to proceed sooner may be granted.
13.3 The person referred to in section 13.1 shall:
13.3.1 Comply with all applicable regulations of the Agency;
13.3.2 Supply the Agency with such other information as the Agency may reasonably request; and
13.3.3 Not operate within the state on a temporary basis in excess of 30 calendar days. Permission to operate for 30 days or more may be granted by the Agency in 30 day intervals up to 180 days.
Information On Radiation Shielding Required For Plan Reviews
1.0 In order for the Agency to provide an evaluation, technical advice, and official approval on shielding requirements for a radiation installation, the following information must be submitted.
1.1 The plans showing, as a minimum, the following.
1.1.1 The normal location of the system's radiation port; the port's travel and traverse limits; general direction(s) of the useful beam; location of any windows and doors or other openings; the location of the operator's booth and the location of the control panel;
1.1.2 The structural composition and thickness or lead equivalent of all walls, doors, partitions, floor, ceiling of the room(s) concerned;
1.1.3 The dimensions of the room(s) concerned;
1.1.4 The type of occupancy of all adjacent areas inclusive of space above and below the room(s) concerned. If there is an exterior wall, show the distance to the closest area(s) where it is likely that individuals may be present;
1.1.5 The make and model of the equipment, the maximum technique factors and the energy waveform (single phase, three phase, etc.);
1.1.6 The type of examination(s) or treatment(s) which will be performed with the equipment.
1.2 Information on the anticipated workload of the system(s) in mA-minutes per week.
1.3 A report showing all basic assumptions used in the development of the shielding specifications.
Design Requirements For An Operator's Booth
1.1 The operator shall be allotted not less than 0.70 m² (7.5 square feet) of unobstructed floor space in the booth;
1.2 The operator's booth may be an geometric configuration with no dimension of less than 0.6 m (2 feet);
1.3 The space shall be allotted excluding an encumbrance by the x-ray control panel, such as overhang, cables or other similar encroachments;
1.4 The booth shall be located or constructed such that unattended direct scatter radiation originating on the examination table or at the wall-mounted image receptor will not reach the operator's position in the booth.
2.1 The booth walls shall be permanently fixed barriers of at least 2 m (7 feet) high;
2.2 When a door or movable panel is used as an integral part of the booth structure, it must have an interlock which will prevent an exposure when the door or panel is not closed;
2.3 Shielding shall be provided to meet the requirements of Part D of Regulation 483.
The radiation exposure control for the system shall be fixed within the booth and:
3.1 Shall be at least 1.0 m (40 inches) from any point subject to direct scatter, leakage or primary beam radiation;
3.2 Shall allow the operator to use the majority of the available viewing windows.
4.1 Each booth shall have at least one viewing device which will:
4.1.1 Be so placed that the operator can view the patient during any exposure;
4.1.2 Be so placed that the operator can have full view of any occupant of the room and should be so placed that the operator can view any entry into the room. If any door which allows access to the room cannot be seen from the booth, then outside that door there shall be an "x-ray on" warning sign that will be lighted anytime the rotor of the x-ray tube is activated. Alternatively, interlock shall be present such that exposures are prevented unless the door is closed.
4.2 When the viewing system is a window, the following requirements also apply:
4.2.1 The window shall have a viewing area of at least 0.09 m² (1 square foot);
4.2.2 Regardless of size or shape, at least 0.09 m² (1 square foot) of the window area must be centered no less than 0.6 m (2 feet) from the open edge of the booth and no less than 1.5 m (5.0 feet) from the floor;
4.2.3 The window shall have at least the same lead equivalence as that required in the booth's wall in which it is mounted.
4.3 When the viewing system is by mirrors, the mirror(s) shall be so located as to accomplish
4.3.1 the general requirements of Appendix B4.(a).
4.4 When the viewing system is by electronic means:
4.4.1 The camera shall be so located as to accomplish the general requirements of Appendix B4.(a);
4.4.2 There shall be an alternative viewing system as a backup for the primary system.
Health Systems Protection
4465 Part B Registration of Radiation Source Facilities and Services
This Part provides for:
1.1 The registration of ionizing radiation source facilities, and
1.2 The registration of persons providing ionizing radiation source installation, servicing, and/or other services listed in this Part.
1.3 In addition to the requirements of this Part, all registrants are subject to the applicable provisions of the General Provisions (4465, Part A), Standards for Protection (4465, Part D), and Notices, Instructions and Reports (4465, Part J) and Compliance Procedures (4465, Part K). In addition, some registrants are subject to provisions of the regulations for Industrial Radiography (4465, Part E), Diagnostic X-Rays and Imaging Systems in the Healing Arts (4465, Part F), Analytical Equipment (4465, Part H) or Particle Accelerators (4465, Part I) and Therapeutic Radiation Machines (4465, Part X).
“Agency” means the Division of Public Health, Delaware Department of Health and Social Services.
“CFR” means Code of Federal Regulations.
“Chiropractic” means a drugless system of health care based on the principle that interference with the transmission of nerve impulses may cause disease, per 24 Del.C., Ch. 7, Board of Chiropractic, as amended.
“Certificate of Approval to Construct” means a document stipulating that work will be done in accordance to the plans and specifications as approved by the Office of Engineering. If at any point after the issuance of a certificate of Approval To Construct there are any changes made to the plans, the Office of Engineering must be immediately notified for them to take appropriate action.
“Certificate of Approval to Operate” means a document indicating that requirements for operation of a new radiation machine facility have been approved by the Office of Radiation Control, following a pre-operational, on-site inspection.
“Dentist” shall mean a person who is qualified to practice dentistry as prescribed in 24 Del.C., Ch. 11, Dentistry and Dental Hygiene, as amended.
“Facility” means the location, building, vehicle, or complex under one administrative control, at which one or more radiation sources are installed, located and/or used.
“Healing arts” includes but is not limited to the practice of medicine, surgery, dentistry, registered pharmacy, podiatry, osteopathy, chiropractic, veterinary medicine or nursing.
“kVP” or Peak Tube Potential, means the maximum value of the potential difference across the x-ray tube during an exposure. This value is usually included in manufacturer’s technical specification for an x-ray device.
“Licensed Practitioner” means a physician licensed to practice medicine, dentistry, podiatry, chiropractic, osteopathy, or veterinary medicine in this state.
“Manager” means the individual working at the facility who is authorized by the owner to sign the application form as the applicant.
“Office of Engineering” means the office in the Delaware Division of Public Health which reviews radiation shielding plans, and issues approval for construction of new radiation machine facilities or rooms.
“Office of Radiation Control” means the office in the Delaware Division of Public Health which carries out the Delaware Radiation Control Regulations, issues radiation source facility registration permits, and performs on-site inspections of new and existing radiation machine facilities to determine compliance.
“Owner/Leasee” means the person/individual who owns/leases the radiation source. An out-of-state owner shall authorize a manager working at the facility to sign the application form.
"Physician" means an allopathic doctor of medicine and surgery or a doctor of osteopathic medicine and surgery who is registered and certified to practice medicine pursuant to 24 Del.C., Ch. 17, Medical Practice Act, as amended.
“Podiatrist” means a person who is qualified to practice podiatry and is licensed under 24 Del.C., Ch. 5, Podiatry, as amended.
“Principal Supervisor” means the Licensed Practitioner responsible for initiating use of x-ray equipment or other device generating ionizing radiation in the healing arts.
“Qualified Expert” means an individual who has satisfactorily fulfilled the training and experience requirements consistent with achieving a level of competency sufficient to function effectively in the position for which registration is sought. Such individuals must demonstrate to the satisfaction of the Agency their qualifications, for example, individuals certified in the appropriate field by the American Board of Radiology, or the American Board of Health Physics, or the American Board of Medical Physics, or those having equivalent qualifications. With reference to the calibration of radiation therapy equipment, an individual, in addition to the above qualifications, must be qualified in accordance with 4465 Part F and 4465 Part X of these regulations, as amended.
“Qualified Medical Physicist” means an individual qualified in accordance with 4465, Part X, Therapeutic Radiation Machines, of these regulations.
“Radiation Source” see source of radiation.
“Radiation Safety Officer” or RSO for a radiation machine facility means an individual assigned to perform radiation safety duties who has training and experience in the safe and effective use of radiation machines, their potential radiation hazards, and emergency precautions applicable to the type of activity or facility to which the RSO is assigned.
“Radiation Service Provider” means company or person who provides radiation services to registered radiation source facilities in Delaware, see Section 9.0 of this Part.
“Source of Radiation” means any radioactive material or any device or equipment emitting, or capable of producing, ionizing radiation.
“Storage” means a condition in which a device or source is not being used for an extended period of time, and has been made inoperable and shall be tagged as out of service.
“Veterinarian” shall mean a person who has received a degree in veterinary medicine from a school of veterinary medicine, per 24 Del.C., Ch. 33, Veterinarians, as amended.
All registration permit-holders shall prohibit any person or company from furnishing radiation machine servicing or services to their radiation machine facility until such person provides evidence of registration with the Agency as a provider of services in accordance with Section, 9.0 of this Part.
4.1 Electronic equipment that produces radiation incidental to its operation for other purposes is exempt from the registration and notification requirements of this regulation, provided that the equivalent dose averaged over an area of 10 square centimeters does not exceed 5 µSv (0.5 millirem) per hour at 5 centimeters from any accessible surface of such equipment. The production, testing, or factory servicing of such equipment shall not be exempt.
4.2 Radiation machines in transit or in storage incident to transit are exempt from the requirements of this Part. This exemption does not apply to the providers of radiation machines for mobile services.
4.3 Domestic television receivers, computer monitors, and electron microscopes are exempt from the registration and notification requirements of this regulation.
5.1 Radiation machine facilities proposed for construction, renovation, or equipment installation after the effective date of this regulation that are designed to house x-ray machines with the potential to generate radiation dose to members of the public equal to or greater than 100 millirem per year, or expose a member of the public to an exposure rate equal to or greater than 2 milliroentgen per hour shall be required to submit a radiation shielding plan prepared by a Qualified Expert who is registered with the Office of Radiation Control as a Radiation Service Provider (see Section 9.0 of this part).
5.1.1 Radiation Machine Facilities or rooms which require a shielding plan include the following modalities:
5.2 New radiation machine facilities or rooms designed to house only x-ray machines that operate at maximum energy less than or equal to 70 kVP shall be exempt from the radiation shielding plan requirement; such devices include but are not limited to the following modalities:
5.2.1 Radiation Machine Facilities or rooms which generally do not require a shielding plan include the following modalities:
5.3 Prior to construction, the floor plans, shielding specifications and equipment arrangement of all new installations, or modifications of existing installations utilizing ionizing radiation sources with maximum energy greater than 70 kVP shall be submitted to the Division of Public Health Office of Engineering for review and approval. The required information is listed in Appendices A and B of this Part and Regulation 4465 Part X, Appendix A, for radiation therapeutic sources.
5.4 The Agency shall require the applicant to utilize the services of a Qualified Expert who is registered with the Agency [see Section 9.0 of this Part] to determine the shielding requirements prior to the plan review and approval. The registered consultant shall provide the shielding information on Form R15A or equivalent to the Office of Engineering, Division of Public Health, which will review the shielding plan and if determined acceptable, will issue a Certificate of Approval to Construct letter to the applicant.
5.5 The issuance of a Certificate of Approval to Construct by the Office of Engineering for radiation shielding plans shall not preclude the requirement of additional modifications should a subsequent analysis of operating conditions indicate the possibility of an individual receiving a dose in excess of the limits prescribed in Regulations 4465 Part D, (Sections D.201, 207, 208 and 301) of these regulations.
5.6 The Office of Radiation Control, Division of Public Health shall conduct a pre-operational, on-site inspection to evaluate shielding and/or operating conditions prior to issuance of the radiation machine registration permit and Certificate of Approval to Operate.
5.7 The Certificate of Approval to Operate issued by the Office of Radiation Control reflects regulatory compliance at the time of the pre-operational inspection of a new facility, and does not imply or certify the facility beyond the scope of that specific inspection.
5.8 After installation of any radiation machine, the registrant shall maintain for inspection by the Agency:
5.8.1 The maximum rated technique factors of each machine;
5.8.2 A scale drawing of the room in which a stationary radiation machine system is located with such drawing indicating the use of areas adjacent to the room and an estimation of the extent of occupancy by an individual in such areas. In addition, the drawing shall include:
5.8.2.1 The results of a survey for radiation levels present at the operator's position and at pertinent points outside the room at specified test conditions; or
5.8.2.2 The type and thickness of materials, or lead equivalency, of each protective barrier.
5.9 Radiation machine facilities that initiated design, construction or installation of dental panoramic, cephalometric, or cone beam CT devices prior to the effective date of this regulation shall maintain records of radiation surveys of exposure rate (milliroentgen per hour) levels present in uncontrolled public areas (ie. corridors or alcoves) where members of the public or employees may be present in the facility. If such surveys indicate an exposure rate equal to or greater than 2 millroentgen per hour is possible in uncontrolled public areas while x-ray equipment is in operation the facility shall provide administrative controls to limit the dose to members of the public with a visible barrier to delineate the controlled area.
6.1 Each owner of a radioactive material facility shall:
6.1.1 Apply for registration of such facility with the Agency prior to the receipt, possession, use, sale, transfer, ownership or acquisition of the radioactive material. Application for registration shall be completed on forms furnished by the Agency.
6.1.2 Designate on the application form an individual to be responsible for radiation protection, duties; (Radiation Safety Officer), address of the facility, and for the radioactive material; element name, atomic mass, chemical or physical form and maximum amount to be possessed at any one time.
6.2 Each owner of a radiation machine facility shall:
6.2.1 Apply for registration of such facility with the Agency prior to the operation of a radiation source facility. Application for registration shall be completed on forms furnished by the Agency and shall contain all the information required by the form and accompanying instructions;
6.2.2 Designate on the application form an individual to be responsible for radiation protection duties; (Radiation Safety Officer); per Appendix C of this Part.
6.2.3 A Licensed Practitioner responsible for directing the operation of radiation machines shall be designated on each healing arts x-ray facility application, specifying their Delaware license number and phone number. The signature of the administrator, president, or chief executive officer will be accepted in lieu of a licensed practitioner's signature if the facility has more than one licensed practitioner (for example, hospitals, large clinics, or multi-practitioner practices), except where prohibited by State Law.
6.2.4 Prohibit any person from furnishing radiation source servicing or services as described in section. 9.4 of this Part to their radiation source facility, until such person provides evidence that they have been registered with the Agency as a Radiation Service Provider in accordance with section 9.0 of this part.
6.2.5 In any facility regulated by or requiring registration under these regulations, the registration permit-holder shall allow only individuals who are adequately trained in radiation safety and the safe and effective use of the machine to operate any radiation machine.
6.2.5.1 The facility registration permit-holder shall document evaluation of the qualifications of each individual permitted to operate any radiation machine at the facility.
6.2.5.1.1 Each operator shall meet all radiation safety training and experience requirements of the respective State of Delaware professional licensure board, as applicable, and any applicable requirements of these regulations (4465 Part B), and 4466 Radiation Technologist/Technician Certification Regulations.
In addition to the requirements of Section 6.0 of this Part, the applicant shall submit the following information:
7.1 An established main location where the machine(s), records, etc. will be maintained for inspection. This shall be a street address, not a post office box number.
7.2 A sketch or description of the normal configuration of each radiation machine's use, including the operator's position and any ancillary personnel's location during exposures. If a mobile van is used with a fixed unit inside, furnish the floor plan indicating protective shielding and the operator's location; and
7.3 A current copy of the applicant's operating and safety procedures including radiological practices for protection of patients, operators, employees, and the general public.
8.1 In addition to the requirements of 6.0 of this Part each applicant shall apply for and receive authorization for healing arts screening before initiating a screening program. The information and evaluation in Appendix E of this part shall be submitted with the application.
8.2 In addition to the requirements of 6.0 of this Part, any research using radiation machines on humans shall be approved by an Institutional Review Board (IRB) as required by Title 45, CFR, Part 46 and Title 21, CFR, Part 56, as amended.
9.1 Each person or company who is engaged in the business of installing or offering to install radiation machines or is engaged in the business of furnishing or offering to furnish radiation machine servicing or services in this State shall apply for registration of such services with the Agency, and receive Agency approval prior to furnishing or offering to furnish any such services.
9.2 Application for registration shall be completed on forms furnished by the Agency and shall contain all information required by the Agency as indicated on the forms and accompanying instructions.
9.3 Each Radiation Service Provider applying for registration under this regulation shall specify:
9.3.1 That they have read and understand the requirements of this and other applicable regulations;
9.3.2 The education and training that qualify them to discharge the services for which they are applying for registration.
9.4 For the purpose of section 9.0, services may include but shall not be limited to:
9.4.1 Installation and/or servicing of radiation sources and associated radiation source components;
9.4.2 Calibration of radiation source or radiation measurement instruments or devices;
9.4.3 Radiation protection or health physics consultations or surveys;
9.4.4 Personnel dosimetry services;
9.4.5 Radiation Shielding Plans for X-Ray Rooms; or
9.4.6 Practice as a Qualified Medical Physicist.
9.5 No individual working as a Radiation Service Provider shall perform services which are not specifically authorized for that individual by the Agency.
10.1 Upon a determination that an applicant meets the requirements of the regulations, the Agency shall issue a notice of registration, which shall be displayed by the registrant in public view.
10.2 The Agency may incorporate in the notice of registration at the time of issuance or thereafter by appropriate rule, regulation, or order, such additional requirements and conditions with respect to the registrant's receipt, possession, use, sale and/or transfer of ownership responsibility of radiation sources as it deems appropriate or necessary.
Except as provided in Section 12.0 below, each notice of registration shall expire at the end of the specified day in the month and year stated therein.
12.1 Application for renewal of registration shall be filed in accordance with sections 6.0, 7.0 and/or 9.0 of this Part.
12.2 In any case in which a registrant not less than 30 days prior to the expiration of his existing notice of registration has filed an application in proper form for renewal, such existing notice of registration shall not expire until the application status has been finally determined by the Agency.
The registrant shall notify the Agency in writing on forms furnished by the Agency before making any change which would render the information contained in the application for registration and/or the notice of registration no longer accurate. The Agency shall incorporate such changes and issue a corrected registration if necessary.
No person, in any advertisement, shall refer to the fact that he or his facility is registered with the Agency pursuant to the provisions of sections 6.0 or 9.0, and no person shall state or imply that any activity under such registration has been approved by the Agency.
15.1 Any person who sells, leases, transfers, lends, disposes, assembles, or installs radiation sources in this State shall notify the Agency within 15 days of:
15.1.1 The name and address of persons who have received these sources;
15.1.2 The manufacturer, model, and serial number of each radiation source transferred; and
15.1.3 The date of transfer of each radiation source.
15.1.4 In the case of diagnostic x-ray systems which contain certified components, a copy of the assembler's report prepared in compliance with requirements of the Federal diagnostic x-ray standard (21 CFR 1020.30(d)) shall be submitted to the Agency following completion of the assembly. Such report shall suffice in lieu of any other report by the assembler.
15.2 No person shall make, sell, lease, transfer, lend, assemble, or install radiation sources or the supplies used in connection with such machines unless such supplies and equipment when properly placed in operation and used shall meet the requirements of these regulations.
16.1 Whenever any radiation source is to be brought into the State, for any temporary use, the person proposing to bring such source into the State shall submit a complete, prescribed application form to the Agency and must receive Agency approval at least 2 working days before such machine is to be brought into the State. The applicant must receive Agency approval prior to use. The notice shall include:
16.1.1 The number(s) and type(s) of radiation source(s);
16.1.2 The nature, start date, duration, and scope of use;
16.1.3 The exact location(s) where the radiation source is to be used; and
16.1.4 the name(s) of the Delaware licensed practitioner(s) and their professional license number(s) if the sources are used to irradiate human beings;
16.1.5 a copy of the person's home state registration license or equivalent document; and
16.1.6 the name(s) and address(es) where the source user(s) can be reached while in the state.
16.2 The person proposing to bring such out-of-state source into Delaware referred to in section 16.1 shall:
16.2.1 Comply with all applicable regulations of the Agency;
16.2.2 Supply the Agency with such other information as the Agency may reasonably request; and
16.2.3 Not operate within the state on a temporary basis in excess of 90 days. Permission to operate for more than 90 days may be granted by the Agency up to 180 days per year.
In order for the Agency to provide an evaluation, technical advice, and official approval on shielding requirements for a radiation installation, the following information must be submitted to the Office of Engineering in the Division of Public Health. The Agency may require a pre-operational inspection be conducted by the Office of Radiation Control to assure that design and operational safety requirements are met prior to approval of the radiation machine registration permit.
1. The plans showing, as a minimum, the following:
(a) The normal location of the system's radiation port; the port's travel and traverse limits; general direction(s) of the useful beam; locations of any windows and doors or other openings; the location of the operator's booth; and the location of the control panel;
(b) The structural composition and thickness or lead equivalence of all walls, doors, partitions, floor, and ceiling of the room(s) concerned;
(c) The dimensions of the room(s) concerned;
(d) The type of occupancy of all adjacent areas inclusive of space above and below the room(s) concerned. If there is an exterior wall, show distance to the closest area(s) where it is likely that individuals may be present;
(e) The make and model of the equipment, the maximum technique factors, and the energy waveform (single phase, three phase, etc.);
(f) The type of examination(s) or treatment(s) which will be performed with the equipment.
2. Information on the anticipated workload of the system(s) in mA-minutes per week.
3. A report showing all basic assumptions used in the development of the shielding specifications.
1. Space Requirements:
(a) The operator shall be allotted not less than 0.70 m2 (7.5 square feet) of unobstructed floor space in the booth;
(b) The operator's booth may be any geometric configuration with no dimension of less than 0.6 m (2 feet);
(c) The space shall be allotted excluding any encumbrance by the x‑ray control panel, such as overhang, cables, or other similar encroachments;
(d) The booth shall be located or constructed such that unattenuated direct scatter radiation originating on the examination table or at the wall-mounted image receptor will not reach the operator's position in the booth.
2. Structural Requirements:
(a) The booth walls shall be permanently fixed barriers of at least 2 m (7 feet) high;
(b) When a door or movable panel is used as an integral part of the booth structure, it must have an interlock which will prevent an exposure when the door or panel is not closed;
(c) Shielding shall be provided to meet the requirements of Part D of these regulations.
3. Radiation Exposure Control Placement:
The radiation exposure control for the system shall be fixed within the booth and:
(a) Shall be at least 1.0 m (40 inches) from any point subject to direct scatter, leakage or primary beam radiation;
(b) Shall allow the operator to use the majority of the available viewing windows.
4. Viewing System Requirements:
(a) Each booth shall have at least one viewing device which will:
(1) Be so placed that the operator can view the patient during any exposure; and
(2) Be so placed that the operator can have full view of any occupant of the room and should be so placed that the operator can view any entry into the room. If any door which allows access to the room cannot be seen from the booth, then outside that door there shall be an "x-ray on" warning sign that will be lighted anytime the rotor of the x-ray tube is activated. Alternatively, an interlock shall be present such that exposures are prevented unless the door is closed.
(b) When the viewing system is a window, the following requirements also apply:
(1) The window shall have a viewing area of at least 0.09 m2 (1 square foot);
(2) Regardless of size or shape, at least 0.09 m2 (1 square foot) of the window area must be centered no less than 0.6 m (2 feet) from the open edge of the booth and no less than 1.5 m (5.0 feet) from the floor;
(3) The window shall have at least the same lead equivalence as that required in the booth's wall in which it is mounted.
(c) When the viewing system is by mirrors, the mirror(s) shall be so located as to accomplish the general requirements of Appendix B4.(a).
(d) When the viewing system is by electronic means:
(1) The camera shall be so located as to accomplish the general requirements of Appendix B4.(a); and
(2) There shall be an alternate viewing system as a backup for the primary system.
The applicant or registration permit-holder, shall require each individual assigned to fulfill responsibilities and duties as Radiation Safety Officer (RSO) to be an individual who has training and experience in the safe and effective use of radiation machines and the potential radiation hazards and emergency precautions applicable to the type(s) of activity or facility for which the individual is seeking to perform RSO duties, to include:
I. Establishing and overseeing operating and safety procedures that maintain radiation exposures as low as reasonably achievable (ALARA), and to review them periodically to ensure that the procedures are current and conform with these regulations;
II. Ensuring that individual monitoring devices are properly used by occupationally exposed personnel as required by the regulations, that records are kept of the monitoring results, and that timely notifications are made as required by 4465 Part D;
III. Investigating and reporting to the agency each known or suspected case of radiation exposure to an individual or radiation level detected in excess of limits established by these regulations and each theft or loss of source(s) of radiation, determining the cause, and taking steps to prevent its recurrence;
IV. Having a thorough knowledge of management policies, administrative procedures and records of the registration permit-holder and keeping management informed on a periodic basis of the performance of the registrant’s radiation protection program, if applicable;
V. Assuming control and having the authority to institute corrective actions including shutdown of operations when necessary in emergency situations or unsafe conditions;
VI. Maintaining records as required by these regulations; and
VII. Ensuring that personnel are adequately trained and complying with these regulations, the conditions of the certificate of registration, and the operating and safety procedures of the registered permit-holder.
All persons performing radiation machine assembly, installation or repair shall meet the general requirements in subparagraph 1. of this paragraph and one or more of the specialized requirements in subparagraph 2. of this paragraph.
1. General requirements include:
(a) Experience or education providing familiarity with the type(s) of equipment to be serviced, to include radiation safety;
(b) Knowledge of protective measures to reduce potentially hazardous conditions; and
(c) Six months of supervised assembly and repair of the type(s) of equipment to be serviced.
2. Specialized requirements include:
(a) One year of formal training (may be satisfied by factory school, military technical training school, or other courses in radiation machine assembly, installation or repair techniques) or an associate's degree in biomedical equipment repair;
(b) A bachelor's degree in electrical engineering with specialized training in radiation producing devices; or
(c) A combination of training and experience equal to clause (a) of this subparagraph.
The following information must be submitted by persons proposing to conduct healing arts screening. Persons requesting that the agency approve a healing arts screening program shall submit the following information and evaluation.
1. Administrative controls to include the following:
(a) The name and address of the applicant and, where applicable, the names and addresses of agents within the state;
(b) The diseases or conditions for which the x‑ray examinations are to be used in diagnoses;
(c) A detailed description of the x‑ray examinations proposed in the screening program;
(d) A description of the population to be examined in the screening program, for example, age, sex, physical condition, and other appropriate information;
(e) An evaluation of any known alternate methods not involving ionizing radiation that could achieve the goals of the screening program and why these methods are not used instead of the x‑ray examination; and
(f) For mobile screening operations, location(s) where radiation machines are used and maintained.
2. Operating procedures for all x-ray systems (except bone densitometers) to include the following:
(a) An evaluation of the x-ray systems to be used in the screening program. The evaluation shall be performed by a licensed medical physicist with a specialty in diagnostic radiological physics. The evaluation shall show that such systems do satisfy all requirements of this section;
(b) A description of the diagnostic imaging quality control program; and
(c) A copy of the technique chart for the x‑ray examination procedures to be used.
3. Operating procedures for bone densitometers to include the manufacturer's evaluation of the system to be used in the screening program. The evaluation shall show that such systems satisfy all requirements of this section.
4. Training data to include the following:
(a) The qualifications of each individual who will be operating the x‑ray systems;
(b) The qualifications of the individual who will be supervising the operators of the x‑ray systems. The extent of supervision and the method of work performance evaluation shall be specified; and
(c) The name and address of the practitioner licensed in the state who will interpret the radiographs.
5. Records to include the following:
(a) A description of the procedures to be used in advising the individuals screened, and their private practitioners of the healing arts, of the results of the screening procedure and any further medical needs indicated; and
(b) A description of the procedures for the retention or disposition of the radiographs and other records pertaining to the x‑ray examinations.
4466 Radiation Technologists/Technicians (Certification)
This Regulation is approved by the Authority on Radiation Protection on February 17, 1989, pursuant to 16 Del.C. §7406(c). Radiation Technologists/Technicians are "users of ionizing radiation" and, therefore, subject to certification by the Authority on Radiation Protection. This Regulation is effective February 10, 2006.
The Authority hereby finds and declares that the citizens of the State of Delaware are entitled to the maximum protection practicable from the harmful effects of excessive and improper exposure to ionizing radiation; that the protection can be increased by requiring appropriate education and training of individuals operating medical and dental equipment and sources emitting ionizing radiation; and that it is therefore necessary to establish certification standards in radiation protection principles for these operators and to provide for their appropriate examination and certification.
This regulation shall be known as the "Radiation Technologist/Technician Certification Regulation".
If any provision or application of any provision of these Regulations is held invalid, that invalidity shall not affect other provisions or applications of these Regulations.
4.1 As used in this regulation:
"Agency" means the administrative agent of the Authority on Radiation Protection; i.e., the Office of Radiation Control, Division of Public Health, Department of Health and Social Services.
"ARRT" means American Registry of Radiologic Technologists. A national certifying body that credentials through a national test graduates of JRCERT approved radiologic technology programs. The ARRT also provides the State Limited Scope Licensing Examination to be used by individuals who do not meet the national registry requirements.
"Authority" means the Authority on Radiation Protection as specified by 16 Del.C. §7404.
"CCI" means Cardiovascular Credentialing International. A national certifying body that credentials technologists in invasive cardiovascular procedures.
"Certificate" means a document issued by the Agency recognizing the successful completion of an Authority approved Certification Exam. The "Certificate" allows for the practice of radiation technology as specified by the level of examination the individual has passed. Other credentials include "Temporary".
"Temporary Certificate" means a certificate issued by the Agency as a temporary authorization to practice Radiation Technology to any applicant who has complied with the provisions of this regulation and is scheduled for the next available examination.
"Certification Examination" means any examination satisfactory to the Authority that is used to determine the competency of Radiation Technologists/Technicians in the "principles and practice of radiation protection".
"CIS" (Cardiovascular Invasive Procedure Specialist) means any individual, other than a licensed practitioner who has trained to perform procedures in a catheterization lab or special procedures lab that require the use of radiation.
"CODA" means Commission on Dental Accreditation.
"Dental Assistant" means an individual, other than a "Licensed Practitioner", who applies radiation to humans for diagnostic purposes in dentistry.
"DANB" means Dental Assisting National Board which provides national credentialing for dental assistants.
"Fee" means the money [see schedule A] an individual must pay:
"JRCERT" means Joint Review Committee on Education in Radiologic Technology
"JRCECT" means Joint Review Committee on Education in Cardiovascular Technology
"Licensed Practitioner" means an individual licensed to practice medicine, dentistry, dental hygiene, podiatry, chiropractic, or osteopathy in this State.
"Medical Radiographer" means an individual, other than a Licensed Practitioner, who exposes humans to ionizing radiation for diagnostic purposes in medicine, podiatry, chiropractic, or osteopathy.
"NMTCB" means Nuclear Medicine Technologist Certification Board which provides national certification of Nuclear Medicine Technologists.
"Nuclear Medicine Technologist" means an individual, other than a Licensed Practitioner, who uses radiopharmaceutical agents on humans for diagnostic and/or therapeutic purposes.
"Radiation Technician" means any individual who has not graduated from a approved program in radiation technology, but has passed an Authority approved examination.
"Radiation Technologist" means any individual who has successfully completed a JRCERT/JRCCVT approved program in radiation technology and/or has passed a national certification examination in his/her field of specialization.
"Radiation Technology" means the use of a radioactive substance or equipment emitting ionizing radiation on humans for diagnostic or therapeutic purposes.
"Radiation Therapist" means an individual, other than a Licensed Practitioner, who exposes humans to ionizing radiation for therapeutic purposes.
"Source of Radiation" means a radioactive material, or any device or equipment emitting or capable of producing ionizing radiation.
"User of Ionizing Radiation" means an individual who supervises the application of ionizing radiation and/or applies ionizing radiation to human beings for diagnostic, therapeutic and/or research purposes (16 Del. C. §7403(9)).
5.1 No individual, other than a Licensed Practitioner or Certified Radiation Technologist/Technician, shall use a Source of Radiation on humans for diagnostic, therapeutic and/or research purposes.
5.1.1 The Authority shall establish certification requirements for Radiation Technologists/Technicians; i.e., Dental Assistant, Dental Radiation Technician, Radiologic Technologist, Medical Radiation Technician, Nuclear Medicine Technologist, Radiation Therapist and Cardiovascular Radiologic Technologist. Individuals holding these certificates shall be recognized by such title(s).
5.1.2 Any individual certified under this regulation is authorized to use a source of radiation on humans for diagnostic or therapeutic purposes under the supervision of a Licensed Practitioner, and in accordance with the Delaware Radiation Control Regulations.
5.1.3 Holders of a certificate (legal title) under this regulation shall display the official certificate or a verified copy in each place of regular employment.
6.1 Classification of Credentials
6.1.1 Certificate (Section 7.1)
6.1.2 Temporary Certificate (Section 7.2)
6.2 Application
6.2.1 The Agency shall accept an application for credentialing from any Radiation Technologist/Technician who is at least 18 years of age or who is currently enrolled in and attending an educational program in radiation technology and who pays a non-refundable application and examination fee (if applicable) established by rule of the Authority.
6.2.2 One or more booklets on basic radiation protection and terminology, examination specifications, and requirements for certification and examination shall be prepared and distributed under the supervision of the Authority on Radiation Protection in consultation with appropriate professional associations. (see Schedule B) Upon acceptance of the application and examination fee, a copy of the booklet shall be sent to all applicants.
6.2.3 The application shall be valid for a period of six (6) months.
6.2.4 The Agency shall issue a certificate to all applicants holding a current national credential from an Authority-recognized, national voluntary credentialing body (see Schedule C).
6.3 Examinations
6.3.1 The examination process shall be administered by the Authority on Radiation Protection or by test administration companies under contract. The fee for examination shall accompany the application request.
6.3.2 The Authority may accept, in lieu of an examination, a current credential by a recognized national voluntary credentialing body, (See Schedule C) issued on the basis of an examination consistent with the requirements established by the Authority, provided that the radiation protection standards to which that body adheres are at least as stringent as those established by the Authority.
6.3.3 An examinee who fails to pass the certification examination may be re-tested two times per calendar year, provided the prescribed application and examination fees for each re-examination are paid.
6.3.4 List of National Credentialing Organizations Acceptable for Delaware Certification
6.3.4.1 American Registry of Radiologic Technologists (ARRT)
6.3.4.2 Dental Assisting National Board (DANB)
6.3.4.3 Nuclear Medicine Technologist Certification Board (NMTCB)
6.3.4.4 Cardiovascular Credentialing International (CCI)
7.1 The Agency may issue a permanent Certificate to each applicant who has successfully met the requirements under Section 6.0, is at least 18 years of age, and has paid the prescribed fees. Furthermore, the Certificate shall be issued on verifying that the applicant has passed a certification examination acceptable to the Authority [see 6.3 above]. The initial permanent Certificate shall expire after a period of four (4) years from date of issue. Certificates based on national credentials will automatically terminate if the national credentials are permitted to lapse.
7.2 Temporary Certificate. The Agency may issue a Temporary Certificate to any person whose national credential. Only one Temporary Certificate may be issued if the Agency finds that it will not violate the purpose of this regulation or endanger the public health and safety. The Temporary Certificate shall grant the same rights as the credential for which the applicant is awaiting examination. Such Temporary Certificate may not be renewed by the Agency without the approval of the Authority and only for just cause.
7.2.1 The Temporary Certificate shall expire:
7.2.1.1 on the date of notification of the results of the certification examination; or,
7.2.1.2 on the certification examination date if the applicant does not take the examination; or,
7.2.1.3 in any case, after a maximum of 90 days from the date of issue.
7.3 Renewal of Permanent Certificate. A valid permanent certificate may be renewed by the Agency for a period of four (4) years upon payment of a renewal fee (see Schedule A) established by the Authority.
7.3.1 Applicants for renewal of certificates based on national credentials must provide proof that the national credentials are currently valid. A photocopy of the national credential membership card or certificate in good standing is the proof required.
7.4 A Radiation Technologist/Technician whose certificate expires is not permitted to take radiographs until the expired certificate is renewed. A grace period of 30 days following the expiration date of a permanent certificate is granted to allow the affected individual to renew the expired certificate.
7.5 A Radiation Technologist/Technician whose permanent certificate has lapsed for a period of less than 180 days shall apply for re-certification provided that he/she presents evidence of having previously passed a certification examination approved by the Authority and pays the re-certification fee.
7.6 A Radiation Technologist/Technician whose permanent certificate has lapsed for more than 180 days shall:
7.6.1 Apply for re-certification
7.6.2 Apply to take the appropriate certification examination or show proof of currently valid national credentials
7.6.3 Pay the re-certification and re-examination fees
7.7 A radiation technologist/technician who has allowed his/her certificate to expire shall not expose humans to ionizing radiation until and unless he/she is re-certified. Failure to comply with this requirement will subject the technician/technologist's employer to citation under the Delaware Radiation Control Regulations addressing Radiation Machine or Radioactive Material Facility Registration.
8.1 Nothing in the provisions of this regulation relating to Radiation Technology shall limit, enlarge, or affect the practice of Licensed Practitioners herein defined.
8.2 The requirement for certification shall not apply to a resident physician, dentist, dental hygienist or to a student enrolled in and attending a school or college of medicine, osteopathy, chiropractic, podiatry, dentistry, or radiation technology who applies ionizing radiation to humans in such an educational program while under the supervision of a certified Radiation Technologist.
8.3 A certificate, registration or license issued by another state will not be accepted as a valid equivalent Radiation Technologist/Technician certification by the Authority.
9.1 Offenses. The following is a list of offenses which are grounds for disciplinary actions of a certified Radiation Technologist or certified Radiation Technician and are the basis for refusal of an application for certification:
9.1.1 The certificate holder or applicant:
9.1.1.1 has been found guilty of fraud or deceit in procuring or attempting to procure a certificate to practice radiation technology; or
9.1.1.2 has been convicted of a felony; or
9.1.1.3 has been convicted of a crime involving moral turpitude or gross immorality; or
9.1.1.4 is unfit or incompetent by reason of gross negligence; or
9.1.1.5 is addicted to the use of habit-forming drugs and not currently under treatment for the addiction; or
9.1.1.6 has a physical or mental condition that prohibits the certificate holder from performing the essential functions of the practice authorized by the certificate; or
9.1.1.7 has a certificate to practice as a registered technologist that has been suspended or revoked in any jurisdiction; or
9.1.1.8 is guilty of unprofessional conduct, or the willful neglect of a patient.
9.2 Disciplinary Sanctions. The Authority on Radiation Protection may impose any of the following sanctions singly or in combination when it finds a certificate holder or an applicant is guilty of any offense described in Section 9.1:
9.2.1 Permanently revoke a certificate to practice
9.2.2 Suspend a certificate until the certificate holder provides proof that the conditions in response to which the suspension was issued no longer exist.
9.2.3 Censure a certificate
9.2.4 Issue a letter of reprimand
9.2.5 Refuse a certificate (Applicant)
9.2.6 Refuse to renew a certificate
9.3 Procedure
9.3.1 The Agency may, upon complaint or upon its own initiative, investigate whether a certificate holder or applicant has engaged in activities specified in this section as grounds for disciplinary action. The Agency shall file a complaint with the Authority seeking to impose sanctions against the alleged violator.
9.3.2 The Authority shall notify the alleged violator of the complaint and offer the alleged violator the opportunity for a hearing, which must be requested within 30 days of the date of notification. If the alleged violator does not timely request a hearing, the proposed sanctions shall become final. If the alleged violator makes a timely request for a hearing, the Authority shall schedule the hearing and give the alleged violator at least 15 days notice prior to the date fixed for the hearing.
9.3.3 In all proceedings herein:
9.3.3.1 The alleged violator may be represented by counsel who shall have the right of examination and cross-examination.
9.3.3.2 The alleged violator and the Agency may subpoena witnesses. Subpoenas shall be issued by the Chairman or Vice Chairman of the Authority upon written request.
9.3.3.3 Testimony before the Authority shall be under oath. Any member of the Authority shall have power to administer oaths for this purpose.
9.3.3.4 A stenographic record of the hearing shall be made by a qualified court reporter. At the request and expense of either party such record shall be transcribed with a copy to the other party.
9.3.3.5 The decision of the Authority shall be based upon a preponderance of the evidence. If the charges are supported by such evidence, the Authority may refuse to issue, or may revoke or may suspend a certificate, or otherwise discipline a certificate holder as outlined in these regulations.
9.3.3.6 The decision of the Authority will be sent to the alleged violator by certified mail.
9.3.3.7 Any final order of the Authority may be appealed to the Superior Court.
9.3.3.8 All findings of the original action, hearing, appeal and conclusions will be held in file at the Agency.
9.3.3.9 The Agency shall notify the employer of the alleged violator of any final order of the Authority regarding any action taken against the certification of that employee by registered, return receipt mail.
9.4 Judicial Review by Superior Court
9.4.1 Any final order entered in any proceeding by the Authority shall be subject to judicial review by the Delaware Superior Court per 16 Del.C. §7412(c).
9.5 Unlawful Practice of Radiation Technology
9.5.1 No person shall practice or offer to practice radiation technology or claim to be a registered or certified radiation worker in Delaware, or shall use any title, abbreviation, sign, card, or device to indicate that such person is certified pursuant to this regulation unless such person is actually certified by the Authority on Radiation Protection.
SCHEDULE A
Credential Fees
Certificate Category | Application | Examination | Renewal |
Dental Assisting | Included in examination fee per testing organization | Per Testing Organization | $50.00 for 4 years |
Medical Radiation Technician | $10.00 | Per Testing Organization | $50.00 for 4 years |
Medical Radiologic Technologist | $10.00 | Per National Board | $50.00 for 4 years |
Nuclear Medicine | $10.00 | Per National Board | $50.00 for 4 years |
Radiation Therapy | $10.00 | Per National Board | $50.00 for 4 years |
Cardiovascular Radiologic Technologist | $10.00 | Per National Board | $50.00 for 4 years |
SCHEDULE B
Delaware Professional Associations
Dental Assistants Association
Dental Hygienists Association
Medical Society of Delaware
Society of Nuclear Medicine Technologists Section
Delaware Society of Radiology Professionals
Dental Society of Delaware
SCHEDULE C
LIST OF NATIONAL CREDENTIALING ORGANIZATIONS ACCEPTABLE FOR DELAWARE CERTIFICATION
1. American Registry of Radiologic Technologists (ARRT)
2. Dental Assisting National Board (DANB)
3. Nuclear Medicine Technologist Certification Board (NMTCB)
4. Cardiovascular Credentialing International (CCI)
4466 Radiation Technologists/Technicians (Certification)
This Regulation was approved by the Authority on Radiation Protection on February 17, 1989, pursuant to 16 Del.C. §7406(b). Radiation Technologists/Technicians are subject to certification by the Authority on Radiation Protection. This Regulation is effective February 10, 2006.
The Authority hereby finds and declares that the citizens of the State of Delaware are entitled to the maximum protection practicable from the harmful effects of excessive and improper exposure to ionizing radiation; that the protection can be increased by requiring appropriate education and training of technologists and technicians operating medical and dental equipment and sources emitting ionizing radiation; and that it is therefore necessary to establish certification standards in radiation protection principles for these operators and to provide for their appropriate examination and certification.
This regulation shall be known as the "Radiation Technologist/Technician Certification Regulation".
If any provision or application of any provision of these Regulations is held invalid, that invalidity shall not affect other provisions or applications of these Regulations.
4.1 As used in this regulation:
"Agency" means the administrative agent of the Authority on Radiation Protection; i.e., the Office of Radiation Control, Division of Public Health, Department of Health and Social Services.
"ARRT" means American Registry of Radiologic Technologists. A national certifying body that credentials through a national test graduates of JRCERT approved radiologic technology programs. The ARRT also provides the State Limited Scope Licensing Examination to be used by individuals who do not meet the national registry requirements.
"Authority" means the Authority on Radiation Protection as specified by 16 Del.C. §7404.
“Cardiovascular Radiologic Technologist” means any individual, other than a licensed physician who has trained to assist with procedures that require the use of radiation invasive cardiology.
"CCI" means Cardiovascular Credentialing International, a national certifying body that credentials technologists in invasive cardiovascular procedures using radiation.
"Certificate" means a document issued by the Agency recognizing the successful completion of an Authority approved Certification Exam. The "Certificate" allows for the practice of radiation technology as specified by the level of examination the individual has passed. Other credentials include "Temporary".
"Certification Examination" means any examination satisfactory to the Authority that is used to determine the competency of Radiation Technologists/Technicians in the "principles and practice of radiation protection".
“Certified Dental Assistant” or CDA means an individual holding a national credential issued by the Dental Assisting National Board (DANB).
“Chiropractic” means a drugless system of health care based on the principle that interference with the transmission of nerve impulses may cause disease, per 24 Del.C., Ch. 7, Board of Chiropractic, as amended.
"CODA" means Commission on Dental Accreditation.
"DANB" means Dental Assisting National Board which issues national credentials to eligible dental assistants.
“Dentist” shall mean a person who is qualified to practice dentistry as prescribed in 24 Del.C., Ch. 11, Dentistry and Dental Hygiene, as amended.
“ISCD” means International Society of Clinical Densitometry.
"JRCERT" means Joint Review Committee on Education in Radiologic Technology
"JRCECT" means Joint Review Committee on Education in Cardiovascular Technology
“JRCNMT” means Joint Review Committee on Nuclear Medicine Technology.
"Licensed Practitioner" means a physician licensed to practice medicine, dentistry, podiatry, chiropractic, osteopathy, or veterinary medicine in this State.
“Medical Radiologic Technologist – CT Only” means a certificate conferred on an individual holding a primary national credential in Nuclear Medicine Technology or Radiation Therapy who subsequently passes a post-primary examination in computed tomography (CT), for purposes of performing modalities combining nuclear medicine and radiologic technology, such as PET/CT.
“Medical Radiologic Technologist – Bone Densitometry Only” means a certificate conferred on an individual holding a primary national credential in Nuclear Medicine Technology or Radiation Therapy who subsequently passes a post-primary examination in bone densitometry.
"NMTCB" means Nuclear Medicine Technologist Certification Board which provides national credentialing of Nuclear Medicine Technologists.
"Nuclear Medicine Technologist" means an individual, other than a Licensed Practitioner, who uses radiopharmaceutical agents on humans for diagnostic and/or therapeutic purposes.
“PET/CT” means positron emission tomography/computed tomography, a medical procedure consisting of radiopharmaceutical agents combined with the use of a form of x-ray machine. This hybrid modality requires dual certification as a Nuclear Medicine Technologist and Medical Radiologic Technologist in this state.
"Physician" means an allopathic doctor of medicine and surgery or a doctor of osteopathic medicine and surgery who is registered and certified to practice medicine pursuant to 24 Del.C., Ch. 17, Medical Practice Act, as amended.
“Podiatrist” means a person who is qualified to practice podiatry and is licensed under 24 Del.C., Ch. 5, Podiatry, as amended.
“Principal Supervisor” means the licensed practitioner responsible for use of x-ray equipment or other device generating ionizing radiation in the healing arts.
“Qualified expert” means an individual who has satisfactorily fulfilled the training and experience requirements consistent with achieving a level of competency sufficient to function effectively in the position for which registration is sought. Such individuals must demonstrate to the satisfaction of the Agency their qualifications for example, individuals certified in the appropriate field by the American Board of Radiology, or the American Board of Health Physics, or the American Board of Medical Physics, or those having equivalent qualifications. With reference to the calibration of radiation therapy equipment, an individual, in addition to the above qualifications, must be qualified in accordance with 4465 Part F and 4465 Part X of these regulations, as amended.
"Radiation Technician" means an individual who has not graduated from an approved program in radiation technology, but has passed an Authority approved examination.
"Radiation Technologist" means an individual who has successfully completed a JRCERT/JRCCVT approved or equivalent, recognized program in radiation technology and has passed a national credentialing examination in his/her field of specialization.
"Radiation Technology" means the use of a radioactive substance or equipment emitting ionizing radiation on humans for diagnostic or therapeutic purposes.
"Radiation Therapist" means an individual, other than a Licensed Practitioner, who exposes humans to ionizing radiation for therapeutic purposes.
"Source of Radiation" means a radioactive material, or any device or equipment emitting or capable of producing ionizing radiation.
“SPECT/CT” means single-photon emission computed tomography (SPECT), a nuclear medicine tomographic imaging technique using gamma rays combined with the use of a form of x-ray machine. This hybrid modality requires dual certification as a Nuclear Medicine Technologist and Medical Radiologic Technologist in this state.
"Temporary Certificate" means a certificate issued by the Agency as a temporary authorization to practice Radiation Technology to any applicant who has complied with the provisions of this regulation and is scheduled for the next available national credentialing examination.
“Veterinarian” shall mean a person who has received a degree in veterinary medicine from a school of veterinary medicine, per 24 Del.C., Ch. 33, Veterinarians, as amended.
5.1 The Authority shall establish certification requirements for Radiation Technologists/Technicians; i.e., Certified Dental Assistant, Dental Radiation Technician, Medical Radiologic Technologist, Medical Radiation Technician, Nuclear Medicine Technologist, Medical Radiologic Technologist – Bone Densitometry Only, Medical Radiologic Technologist – CT Only, Radiation Therapist and Cardiovascular Radiologic Technologist. Individuals holding these certificates shall be recognized by such title(s).
5.2 Any technologist or technician certified under this regulation is authorized to use a source of radiation on humans for diagnostic or therapeutic purposes under the supervision of a Licensed Practitioner, and in accordance with the Delaware Radiation Control Regulations.
5.3 Holders of a certificate (legal title) under this regulation shall display in public view the official certificate or a verified copy in each place of regular employment.
6.1 Classification of Certificates
6.1.1 Certificate (Subsection 7.1)
6.1.2 Temporary Certificate (Subsection 7.2)
6.2 Application
6.2.1 The Agency shall accept an application for credentialing from any Radiation Technologist/Technician who is at least 18 years of age, or who is currently enrolled in and attending an educational program in radiation technology and who pays a non-refundable application and examination fee (if applicable) established by rule of the Authority. Each application submitted must be complete, or it will be returned to the applicant.
6.2.1.1 Initial and renewal application fees shall be established at $50.00 when paid on time. Renewal fee is $ 100.00 when payment is received by the agency 1-180 days after expiration date on the certificate (based on post-mark).
6.2.1.2 The initial application fee shall be waived for applicants who document they are enrolled in a vocational-technical high school Dental Assisting Program in Delaware.
6.2.1.3 The Agency shall issue a certificate to all applicants who provide proof that they hold a current national credential from an Authority-recognized, national voluntary credentialing body, see 6.3.5 of this part.
6.3 Examinations
6.3.1 The examination process shall be administered by test administration companies under contract to the Agency. The fee for examination shall accompany the application request, where applicable.
6.3.2 The Authority shall accept an application for certification from any applicant who discloses conviction of a felony if the application is complete and is submitted with photocopy of court documents that include charges, and disposition papers.
6.3.3 The Authority may accept, in lieu of an examination, a current credential by a recognized national voluntary credentialing body, (See 6.3.5 of this regulation) issued on the basis of an examination consistent with the requirements established by the Authority, provided that the radiation protection standards to which that body adheres are at least as stringent as those established by the Authority.
6.3.4 An examinee who fails to pass the Authority-approved certification examination may be re-tested two times per calendar year, provided the prescribed application is submitted and examination fees for each re-examination are paid.
6.3.5 List of National Credentialing Organizations Acceptable for Delaware Certification
6.3.5.1 American Registry of Radiologic Technologists (ARRT)
6.3.5.2 Dental Assisting National Board (DANB)
6.3.5.3 Nuclear Medicine Technologist Certification Board (NMTCB)
6.3.5.4 Cardiovascular Credentialing International (CCI)
6.3.5.5 International Society of Clinical Densitometry (ISCD)
7.1 The Agency may issue a Certificate to each qualified applicant who has successfully met the requirements under Section 6.0, is at least 18 years of age, and has paid the prescribed fees, (Schedule A). Furthermore, the Certificate shall be issued upon verifying that the applicant has passed a certification examination acceptable to the Authority [see 6.3 above]. The initial Certificate shall expire after a period of three (3) years from date of issue. Certificates based on national credentials will automatically terminate if the national credentials are permitted to lapse, or are revoked.
7.2 Temporary Certificate.
The Agency may issue a Temporary Certificate to a student enrolled in a post-secondary accredited school of radiation technology who is approved to take a national credentialing exam. Only one Temporary Certificate may be issued if the Agency finds that it will not violate the purpose of this regulation or endanger the public health and safety. The Temporary Certificate shall grant the same rights as the credential for which the applicant is awaiting examination. Such Temporary Certificate may not be renewed by the Agency without the approval of the Authority and only for just cause.
7.2.1 The Temporary Certificate shall expire:
7.2.1.1 on the date of notification of the results of the certification examination; or,
7.2.1.2 on the certification examination date if the applicant does not take the examination; or,
7.2.1.3 in any case, after a maximum of 90 days from the date of issue.
7.3 Renewal of Certificate.
A valid certificate may be renewed by the Agency for a period of three (3) years upon payment of a renewal fee (see Schedule A) established by the Authority.
7.3.1 Applicants for renewal of certificates based on national credentials must provide proof that the national credentials are currently valid. A photocopy of the national credential membership card or certificate in good standing is the proof required.
7.4 A Radiation Technologist/Technician whose certificate expires is not permitted to administer radiation to human patients until the expired certificate is renewed.
7.5 A Radiation Technologist/Technician whose certificate has lapsed for a period of less than 180 days shall apply for renewal provided that he/she presents evidence of having previously passed a certification examination approved by the Authority and pays the prescribed renewal fee.
7.6 Re-certification of Lapsed Certificate.
A Radiation Technologist/Technician whose certificate has lapsed for more than 180 days shall:
7.6.1 Apply for re-certification,
7.6.2 Apply to take the appropriate certification examination, show proof of having passed an examination acceptable to the Authority, or show proof of currently valid national credentials,
7.6.3 Pay the re-certification fee and re-examination (if applicable) fee.
7.7 A radiation technologist/technician who has allowed his/her certificate to expire shall not expose humans to ionizing radiation until and unless he/she is re-certified. Failure to comply with this requirement will subject the technician/technologist's employer to citation under the Delaware Radiation Control Regulations.
7.8 The Agency may issue verification of certification to each applicant seeking to have their Delaware certificate recognized for licensure by another state, upon receipt of a complete, official application form, and payment of the prescribed application fee.
7.9 An approved applicant whose check for fee payment is returned marked insufficient funds, account closed, or payment stopped shall remit to the agency a money order or check for guaranteed funds (cashier’s check or money order) in the amount of the application or examination fee plus the returned check fee within 30 days of the date of receipt of the agency’s notice. Otherwise, the application and the approval shall be invalid.
8.1 Nothing in the provisions of this regulation relating to Radiation Technology shall apply to the practice of Licensed Practitioners herein defined.
8.2 The requirement for certification shall not apply to a student enrolled in and attending an accredited school of radiation technology who applies ionizing radiation to humans in such an educational program while under the supervision of a certified Radiation Technologist.
8.3 A certificate, registration or license issued by another state will not be accepted as a valid equivalent Radiation Technologist/Technician certification by the Authority.
9.1 Grounds for Denial of a Certificate and/or for Discipline of a Certificate Holder
9.1.1 Any denial of an application for a certificate or discipline of a certificate holder may be made by the Authority or the Agency based upon any of the following:
9.1.1.1 Any false or misleading statement or nondisclosure of any information requested during the application or renewal process or during any investigation of the certificate holder;
9.1.1.2 Any prior discipline or administrative action against the applicant or certificate holder by any agency or jurisdiction including but not limited to Delaware of or concerning the applicant's or certificate holder's actions or inactions in connection with performance as a radiation technologist or similar occupation;
9.1.1.3 Any plea of guilty or nolo contendere to or any conviction of any felony or class A misdemeanor or any crime substantially related to the practice involving radiation technology; a pardon does not affect the application of the foregoing;
9.1.1.4 Any dishonorable, unethical or other conduct likely to deceive, defraud or harm the public;
9.1.1.5 The practice of radiation technology or other activity regulated by the Authority without a certificate or other authorizing document or under a false or assumed name;
9.1.1.6 Misconduct, including but not limited to sexual misconduct, incompetence, or gross negligence or pattern of negligence in the practice of radiation technology or other activity regulated by the Authority;
9.1.1.7 Assisting an unauthorized person to practice any activity for which you hold a certificate;
9.1.1.8 Any physical or mental impairment which substantially limits the ability to perform the essential functions of the practice which is authorized by the certificate; with or without reasonable accommodation;
9.1.1.9 Conduct that would constitute a crime substantially related to the practice for which a certificate has been issued, or the practice of radiation technology;
9.1.1.10 Has engaged in any unprofessional conduct, or the willful neglect of a patient;
9.1.1.11 The practice for which a certificate has been applied for or has been issued under a false or assumed name or identity;
9.1.1.12 Excessive use or abuse of drugs including alcohol;
9.1.1.13 Any false, fraudulent, or forged statement or document or the use of any fraudulent, deceitful, dishonest, or unethical practice in connection with the practice regulated by the Authority;
9.1.1.14 Any other dishonorable or unprofessional actions or inactions which would bring disrepute upon the profession or activity regulated by the Authority or for which you hold a certificate issued by the Authority.
9.2 Sanctions. The Authority on Radiation Protection may take any of the following actions singly or in combination when it finds a certificate holder or an applicant has violated any of the provisions of Section 9.1 et seq. or the Rules or Regulations of the Authority:
9.2.1 Revocation of the certificate to practice;
9.2.2 Suspension of the certificate for a defined period of time;
9.2.3 Suspension of the certificate to practice upon conditions until the certificate holder provides proof that the conditions for which the suspension was issued no longer exist or have been met;
9.2.4 Public or private censure of the certificate holder;
9.2.5 Issuance of a Letter of Reprimand;
9.2.6 Denial of an application for a certificate;
9.2.7 Refusal to renew a certificate;
9.2.8 Such other and further relief as may be warranted including but not limited to the actions under 16 Del.C. §§7412; 7413; 7416; 7415.
9.3 Authority Proceedings
9.3.1 The Agency may, upon a written complaint or upon its own initiative, investigate whether a certificate holder or applicant has engaged in conduct which might result in sanctions.
9.3.2 The Agency shall investigate such complaint and take such evidence as it deems appropriate and may subpoena records and documents relating thereto.
9.3.3 A copy of the Complaint shall be provided to the certificate holder or applicant who shall have 20 days to provide a written response.
9.3.4 If at the conclusion of the investigation and consideration of the response, if any, the Agency determines that a formal complaint shall be issued upon the certificate holder, it shall provide a copy of the complaint to the Authority.
9.3.5 If the Authority determines that a complaint should be issued then the Agency shall notify the alleged violator of the complaint and offer the alleged violator the opportunity for a hearing, which must be requested within 30 days of the date of notification. If the alleged violator does not timely request a hearing, the proposed sanctions shall become final. If the alleged violator makes a timely request for a hearing, the Authority shall schedule the hearing and give the alleged violator at least 30 days notice prior to the date fixed for the hearing.
9.3.6 In all proceedings herein:
9.3.6.1 The alleged violator may be represented by counsel who shall have the right of examination and cross-examination.
9.3.6.2 The alleged violator and the Agency may subpoena witnesses. Subpoenas shall be issued by the Chairman or Vice Chairman of the Authority upon written request.
9.3.6.3 Testimony before the Authority shall be under oath. Any member of the Authority shall have power to administer oaths for this purpose.
9.3.6.4 A stenographic record of the hearing shall be made by a qualified court reporter. At the request and expense of either party such record shall be transcribed with a copy to the other party.
9.3.6.5 The decision of a majority of the members of the Authority who are present and constitute a quorum shall be based upon a preponderance of the evidence. If the charges are supported by such evidence, the Authority may impose any sanction provided for herein. The discussion by the members of the Authority and the vote shall be in public session.
9.3.6.6 The written decision of the Authority will be sent to the alleged violator and his/her counsel by certified mail.
9.3.6.7 The Agency shall notify the employer of the alleged violator of any final order of the Authority regarding any action taken against the certification of that employee by registered, return receipt mail.
9.4 Appeals
9.4.1 Any final order entered in any proceeding by the Authority shall be subject to judicial review by the Delaware Superior Court per 16 DeI.C. §7412(c).
9.4.2 Appeals shall be handled in accordance with Delaware Superior Court Civil Rule 72.
9.5 Unlawful Practice of Radiation Technology
9.5.1 No person shall practice or offer to practice radiation technology or claim to be a registered or certified radiation worker in Delaware, or shall use any title, abbreviation, sign, card, or device to indicate that such person is certified pursuant to this regulation unless such person is actually certified by the Authority.
Certificate Category | Initial Application Fee | On-Time Renewal Fee (postmarked prior to expiration date) | Late Renewal Fee (postmarked 1-180 days after expiration date) |
Dental Radiation Technician, or Certified Dental Assistant (CDA) | $ 50.00 | $ 50.00 | $ 100.00 |
Medical Radiation Technician | $ 50.00 | $ 50.00 | $ 100.00 |
Medical Radiologic Technologist | $ 50.00 | $ 50.00 | $ 100.00 |
Nuclear Medicine Technologist | $ 50.00 | $ 50.00 | $ 100.00 |
Radiation Therapist | $ 50.00 | $ 50.00 | $ 100.00 |
Cardiovascular Radiologic Technologist | $ 50.00 | $ 50.00 | $ 100.00 |
Verification of Licensure – Other State Forms | $ 50.00 | ||
Returned Check | $ 25.00 |
Fee(s) listed applies to each type of certificate; see Section 5.0 of this regulation, Legal Titles, and Section 7.0, Issuing Certification.
1. American Registry of Radiologic Technologists (ARRT)
2. Dental Assisting National Board (DANB)
3. Nuclear Medicine Technologist Certification Board (NMTCB)
4. Cardiovascular Credentialing International (CCI)
5. International Society Clinical Densitometry (ISCD)




