DEPARTMENT OF HEALTH AND SOCIAL SERVICES
Division of Medicaid and Medical Assistance
FINAL
ORDER
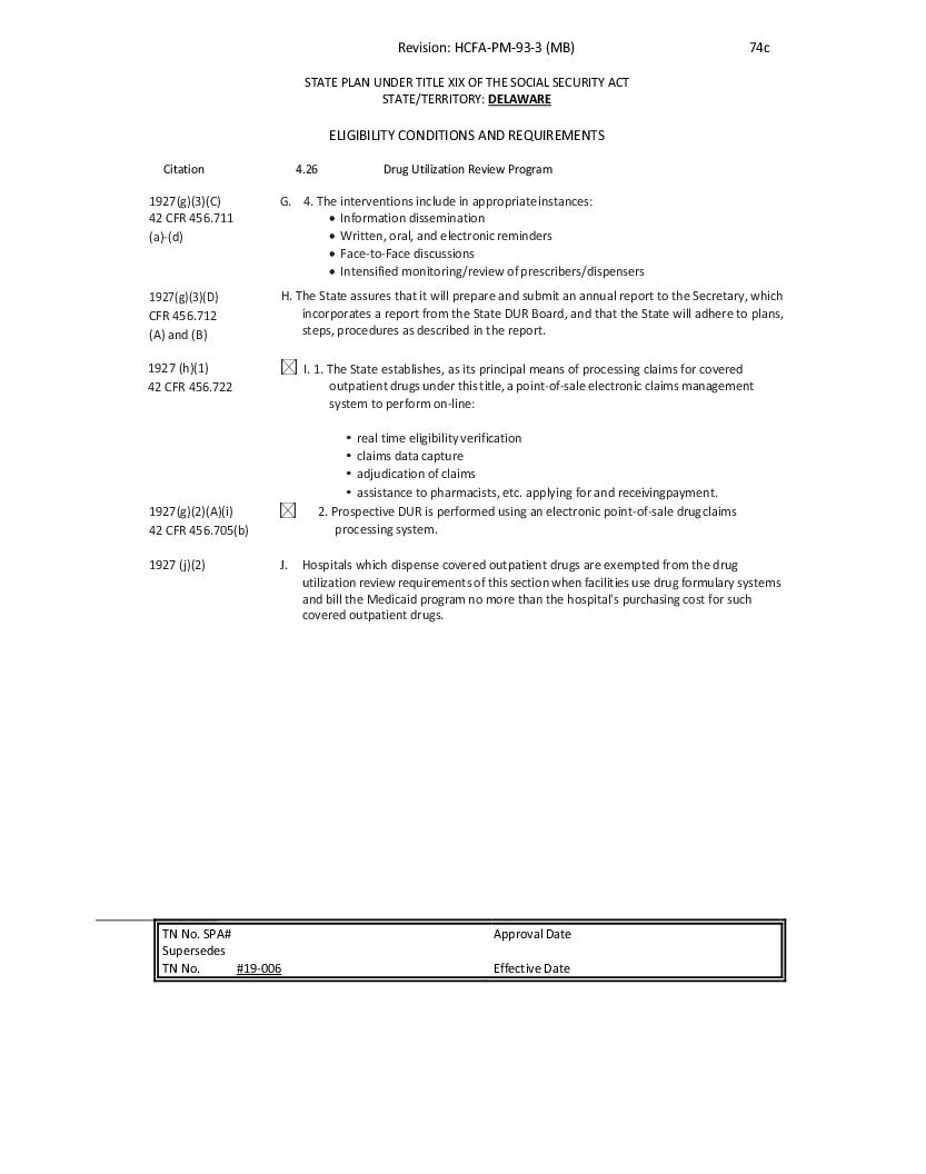
Drug Utilization Review (DUR) - Opioid Provisions
BEFORE DELAWARE HEALTH AND SOCIAL SERVICES
IN THE MATTER OF
)
REVISION OF THE REGULATION )
OF DELAWARE’S )
TITLE XIX MEDICAID STATE PLAN )
SECTION 4.26 )
NATURE OF THE PROCEEDINGS:
Delaware Health and Social Services ("Department") / Division of Medicaid and Medical Assistance (DMMA) initiated proceedings to amend Title XIX Medicaid State Plan regarding the DUR, specifically, to update policy to comply with the published Final Rule. The Department's proceedings to amend its regulations were initiated pursuant to 29 Del. C. § 10114 and its authority as prescribed by 31 Del. C. § 512.
The Department published its notice of proposed regulation changes pursuant to 29 Del. C. § 10115 in the May 2021 Delaware Register of Regulations, requiring written materials and suggestions from the public concerning the proposed regulations to be produced by June 1, 2021 at which time the Department would receive information, factual evidence and public comment to the said proposed changes to the regulations.
SUMMARY OF PROPOSAL
Effective for services provided on and after August 11, 2021, Delaware Health and Social Services/Division of Medicaid and Medical Assistance (DHSS/DMMA) proposes to amend section 4.26 of Title XIX Medicaid State Plan regarding the DUR, specifically, to update policy to comply with the published Final Rule.
Background
On December 21, 2020, Centers for Medicare & Medicaid Services (CMS) published the final rule Establishing Minimum Standards in Medicaid Drug Utilization Review (DUR) and Supporting Value-Based Purchasing for Drugs Covered in Medicaid, Revising Medicaid Drug Rebate And Third Party Liability Requirements (Rule). This Rule contains opioid-related DUR provisions with which a state must comply and a state must include its compliance plan in the State Plan.
Statutory Authority
42 CFR. § 456.703
42 U.S. Code § 1396a(a)(85)
Purpose
The purpose of this proposed regulation is to update policy to comply with the published Final Rule.
Public Notice
In accordance with the federal public notice requirements established at Section 1902(a)(13)(A) of the Social Security Act and 42 CFR 440.386 and the state public notice requirements of Title 29, Chapter 101 of the Delaware Code, DHSS/DMMA gives public notice and provides an open comment period for 30 days to allow all stakeholders an opportunity to provide input on the proposed regulation. Comments were to have been received by 4:30 p.m. on June 1, 2021.
Centers for Medicare and Medicaid Services Review and Approval
The provisions of this state plan amendment (SPA) are subject to approval by the Centers for Medicare and Medicaid Services (CMS). The draft SPA page(s) may undergo further revisions before and after submittal to CMS based upon public comment and/or CMS feedback. The final version may be subject to significant change.
Provider Manuals and Communications Update
Also, there may be additional provider manuals that may require updates as a result of these changes. The applicable Delaware Medical Assistance Program (DMAP) Provider Policy Specific Manuals and/or Delaware Medical Assistance Portal will be updated. Manual updates, revised pages or additions to the provider manual are issued, as required, for new policy, policy clarification, and/or revisions to the DMAP program. Provider billing guidelines or instructions to incorporate any new requirement may also be issued. A newsletter system is utilized to distribute new or revised manual material and to provide any other pertinent information regarding DMAP updates. DMAP updates are available on the Delaware Medical Assistance Portal website: https://medicaid.dhss.delaware.gov/provider
Fiscal Impact Statement
There is no anticipated fiscal impact.
Summary of Comments Received with Agency Response and Explanation of Changes
No comments were received during the public comment period.
FINDINGS OF FACT:
The Department finds that the proposed changes as set forth in the May 2021 Register of Regulations should be adopted.
THEREFORE, IT IS ORDERED, that the proposed regulation to amend Title XIX Medicaid State Plan regarding the DUR, specifically, to update policy to comply with the published Final Rule, is adopted and shall be final effective August 11, 2021.
7/14/2021
Date of Signature
Molly K. Magarik, MS
DHSS Cabinet Secretary






