DEPARTMENT OF HEALTH AND SOCIAL SERVICES
Division of Medicaid and Medical Assistance
FINAL
ORDER
MAGI Methodology
BEFORE DELAWARE HEALTH AND SOCIAL SERVICES
IN THE MATTER OF
REVISION OF THE REGULATION )
OF DELAWARE'S )
TITLE XIX MEDICAID STATE PLAN )
SECTIONS 16100, 16500.1, 16500.1.1, 16500.2 and 16500.3 )
NATURE OF THE PROCEEDINGS:
Delaware Health and Social Services ("Department") / Division of Medicaid and Medical Assistance initiated proceedings to amend the Delaware Social Services Manual (DSSM) regarding Modified Adjusted Gross Income (MAGI) Methodology, specifically, to align with recently issued federal guidance. The Department's proceedings to amend its regulations were initiated pursuant to 29 Del. C. § 10114 and its authority as prescribed by 31 Del. C. § 512.
The Department published its notice of proposed regulation changes pursuant to 29 Del. C. § 10115 in the March 2021 Delaware Register of Regulations, requiring written materials and suggestions from the public concerning the proposed regulations to be produced by March 31, 2021 at which time the Department would receive information, factual evidence, and public comment to the said proposed changes to the regulations.
SUMMARY OF PROPOSAL
Purpose
The purpose of this proposed regulation is to revise Modified Gross Income (MAGI)-based income methodologies to align with the most recently issued federal guidance.
Summary of Proposed Changes
Effective for services provided on and after June 11, 2021 Delaware Health and Social Services/Division of Medicaid and Medical Assistance (DHSS/DMMA) proposes to amend sections 16100, 16500.1, 16500.1.1, 16500.2 and 16500.3 of the Delaware Social Services Manual (DSSM) regarding MAGI Methodology, specifically, to align with federal guidance.
Background
Section 1902(e)(14) of the Act requires that state Medicaid agencies generally use "modified adjusted gross income" and "household income," as defined at section 36B(d)(2) of the Internal Revenue Code of 1986 (the IRC) to determine Medicaid eligibility. There have been recent legislative changes to MAGI-based methodologies: the Tax Cuts and Jobs Act (Pub. L. No. 115-97, "TCJA"), enacted on December 22, 2017; the Bipartisan Budget Act of 2018 (Pub. L. No. 115-123, "BBA of 2018"), enacted on February 9, 2018; and the Helping Ensure Access for Little Ones, Toddlers, and Hopeful Youth by Keeping Insurance Delivery Stable Act (Pub. L. No. 115-120, "HEALTHY KIDS Act"), enacted on January 22, 2018.
Statutory Authority
Public Notice
In accordance with the federal public notice requirements established at Section 1902(a)(13)(A) of the Social Security Act and 42 CFR 447.205 and the state public notice requirements of Title 29, Chapter 101 of the Delaware Code, DHSS/ DMMA gives public notice and provides an open comment period for 30 days to allow all stakeholders an opportunity to provide input on the proposed regulation. Comments were to have been received by 4:30 p.m. on March 31, 2021.
Provider Manuals and Communications Update
A newsletter system is utilized to distribute new or revised manual material and to provide any other pertinent information regarding manual updates. Updates are available on the Delaware Medical Assistance Portal website: https://medicaid.dhss.delaware.gov/provider
Fiscal Impact Statement
There is no anticipated fiscal impact.
Summary of Comments Received with Agency Response and Explanation of Changes
No comments were received.
FINDINGS OF FACT:
The Department finds that the proposed changes as set forth in the March 2021 Register of Regulations should be adopted.
THEREFORE, IT IS ORDERED, that the proposed regulation to amend the Delaware Social Services Manual (DSSM) regarding Modified Adjusted Gross Income (MAGI) Methodology, specifically, to align with recently issued federal guidance, is adopted and shall be final effective June 11, 2021.
5/14/2021
Date of Signature
Molly K. Magarik, MS, Secretary, DHSS
16000 Financial Methodologies - Application of Modified Adjusted Gross Income (MAGI) Methodology
The following words and terms, when used in the context of these policies, will have the following meaning unless the context clearly indicates otherwise.
“Child” means a natural or biological, adopted, or step-child.
“Family size” means the number of persons counted as members of an individual’s household. When determining the family size of a pregnant woman, the pregnant woman is counted as herself plus the number of children she is expected to deliver. When determining the family size of other individuals who have a pregnant woman in their household, the pregnant woman is counted as herself plus the number of children she is expected to deliver.
“Federal Poverty Level” means the Federal poverty level updated periodically in the Federal Register by the Secretary of the United States Department of Health and Human Services that is in effect for the budget period used to determine an individual’s eligibility in accordance with this section.
“Household income” means the sum of the MAGI-based income of every individual included in the individual’s household unless an exception applies.
Exceptions:
The MAGI-based income of an individual who is included in the household of his or her parent and who is not expected to be required to file a tax return for the taxable year in which eligibility is being determined, is not included in the household income whether or not the individual files a tax return.
The MAGI-based income of a tax dependent, claimed by someone other than a parent, who is not expected to be required to file a tax return for the taxable year in which eligibility is being determined, is not included in the household income of the taxpayer whether or not such tax dependent files a tax return.
“Modified adjusted gross income (MAGI)” means the adjusted gross income reported on the Internal Revenue Service (IRS) Form 1040 with the addition of:
(1) Foreign earned income excluded from taxes
(2) Tax-exempt interest
(3) Tax-exempt Social Security income
“MAGI-based income” means income calculated using the same financial methodologies used to determine modified adjusted gross income as defined in section 36B(d)(2)(B) of the Internal Revenue Service Code, with the following exceptions:
(1) An amount received as a lump sum is counted as income only in the month received.
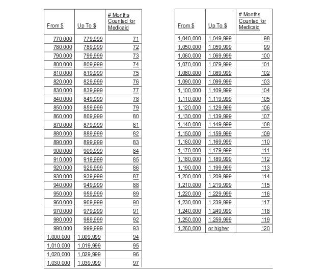
(2) Gambling winnings less than $80,000 are counted in the month received; Winnings of $80,000 but less than $90,000 are counted as income over two months, with an equal amount counted in each month. For every additional $10,000 one month is added to the period over which total winnings are divided, in equal installments, and counted as income. The maximum period of time over which winning may be counted is 120 months.
Under section 53103(b)(2) of the BBA of 2018 the requirement to count qualified lottery and gambling winnings in household income over multiple months applies only to the individuals receiving the winnings. The determination of household income for other members of the individual’s household are not affected.
For example: the total amount of qualified lottery or gambling winnings of a spouse or parent continues to count only in the month received in determining the eligibility of the other spouse and children.
(2)(3) Scholarships, awards, or fellowship grants used for education purposes and not for living expenses are excluded from income.
(3)(4) American Indian/Alaska Native income as defined in 42 CFR 435.603(e)(3) is excluded.
“Parent” means a natural or biological, adopted, or step-parent.
“Qualifying child” To be a dependent, a person must be either a qualifying child or a qualifying relative. Generally, a person is a qualifying child if that person:
For more information, see Exemptions for Dependents in IRS Pub 501.
“Qualifying relative” To be a dependent, a person must be either a qualifying child or a qualifying relative. Generally, a person is a qualifying relative if that person:
For more information, see Exemptions for Dependents in IRS Pub. 501
“Sibling” means a natural or biological, adopted, half, or step-sibling.
“Spouse” means a person who is legally married to another person regardless of their genders.
“Tax dependent” means a person, other than the tax filer or the tax filer’s spouse, for whom an exemption can be claimed. To be a dependent, a person must be a qualifying child or qualifying relative of the tax filer. For more information, see Exemptions for Dependents in IRS Pub 501.
(Break in Continuity of Sections)
16500.1 Counted Income Income - Below are the common but not exclusive list of included income items per the Internal Revenue Service (IRS) for calculating MAGI. Please visit https://www.irs.gov/publications/p525 to find the entire list of items on the list.
Wages, salaries, tips, etc.;
Interest – both taxable and tax-exempt amounts;
Ordinary dividends;
Qualified dividends;
Taxable refunds, credits, or offsets of state and local income taxes;
Alimony received;
Business income or (loss);
Capital gain or (loss);
Other gains or (losses);
IRA distributions – taxable amount;
Pensions and annuities – taxable amount;
Rental real estate, royalties, partnerships, S corporations, trusts, etc.;
Farm income or (loss);
Unemployment compensation;
Social Security benefits – both taxable and tax-exempt amounts;
Lump sum payment - a non-recurring lump sum payment (such as back pay, a retroactive benefit payment, State tax refund, or an insurance settlement) is counted as taxable income only in the month received;
Other taxable income.
1. Under section 53103(b)(2) of the BBA of 2018 the requirement to count qualified lottery and gambling winnings in household income over multiple months applies only to the individuals receiving the winnings. The determination of household income for other members of the individual’s household are not affected.
For example: the total amount of qualified lottery or gambling winnings of a spouse or parent continues to count only in the month received in determining the eligibility of the other spouse and children.
2. Affected individuals are notified of the date on which the lottery or gambling winnings no longer will be counted for the purpose of Medicaid or CHIP eligibility. DMMA will also notify affected individuals of the hardship exemption.
16500.1.1 Lottery and Gambling Winnings
Months over which Income is counted by Income Increment

16500.2 Excluded Income - Below are the common but not exclusive list of excluded income items per the Internal Revenue Service (IRS) for calculating MAGI. Please visit https://www.irs.gov/publications/p525 to find the entire list of items on the list.
Scholarships, awards, or fellowship grants used for education purposes and not for living expenses;
American Indian/Alaska Native income as defined in 42 CFR 435.603(e);
Child Support Received;
Gifts and loans;
Inheritance;
Supplemental Security Income (SSI);
Temporary Assistance to Needy Families (TANF) and other government cash assistance;
Veteran’s benefits;
Worker’s Compensation payments;
Other Non-Taxable Income.
16500.3 Deductions
Educator expenses;
Certain business expenses of reservists, performing artists, and fee-basis government officials;
Health savings account deduction;
Moving expenses;
Deductible part of self-employment tax;
Self-employed SEP, SIMPLE, and qualified plans;
Self-employed health insurance deduction;
Penalty on early withdrawal of savings;
Alimony paid;
IRA deduction;
Student loan interest deduction;
Tuition and fees;
Domestic production activities deduction.




