department of natural resources and environmental control
Division of Air and Waste Management
FINAL
Secretary’s Order No.: 2008-A-0039
RE: Proposed Adoption of Section 11.0: “Area Source Lead Acid Battery Manufacturing Standard” into existing Air Regulation 1138: Emission Standards for Hazardous Air Pollutants for Source Categories
Date of Issuance: September 10, 2008
Effective Date of the Amendment: October 11, 2008
I. Background:
A public hearing was held on Tuesday, July 29, 2008, at 6:00 p.m. at the DNREC Richardson & Robbins Building Auditorium to receive comment on the proposed adoption of Section 11.0, “Area Source Lead Acid Battery Manufacturing Standard” into existing Delaware Regulation 1138, Emission Standards for Hazardous Air Pollutants for Source Categories. To serve as a brief background for this promulgation, it should be noted that Congress sought to reduce cancer and non-cancer health risks due to the exposure to hazardous air pollutants (HAPs) in the 1990 Amendments to the Clean Air Act. Under Section 112(k) – Area Source Program, Congress mandated that the EPA identify 30 or more HAPs that posed the greatest threat to public health in urban areas, and to identify the small (i.e., “area”) sources that emit any of those pollutants.
In 1999, the EPA identified 33 HAPs that posed the greatest threat to public health. Since that time, the EPA has identified over 60 area source categories for which standards are to be promulgated. The EPA promulgated its first of these area source standards in 2006, and they are under Court-ordered deadlines to complete all promulgations by June 2009. 40 CFR Part 63, Subpart PPPP constitutes the Department’s starting point for the development of this State of Delaware proposed regulation.
In July 2007, the EPA promulgated its first area source standard affecting a Delaware source: the lead acid battery manufacturing standard. The Johnson Controls facility, located in Middletown, Delaware, is the only known Delaware source that will be subject to this standard. Representatives from that facility were in communication with the Department during the pre-hearing phase of this matter to learn more about this proposed regulatory action.
No members of the public attended this hearing on July 29, 2008, and no public comment or questions were received by the Department regarding this proposed action. Proper notice of the hearing was provided as required by law.
After the hearing, the Department performed an evaluation of the evidence entered into the record in this matter. Thereafter, the Hearing Officer prepared her report and recommendation in the form of a Hearing Officer’s Memorandum to the Secretary dated September 5, 2008, and that Report is expressly incorporated herein by reference.
II. Findings:
The Department has provided a reasoned analysis and a sound conclusion with regard to this proposed regulatory action, as reflected in the Hearing Officer’s Memorandum of September 5, 2008, which again is attached and expressly incorporated into this Order. Moreover, the following findings and conclusions are entered at this time:
1. The Department has jurisdiction under its statutory authority to make a determination in this proceeding;
2. The Department provided adequate public notice of the proceeding and the public hearing in a manner required by the law and regulations;
3. The Department held a public hearing in a manner required by the law and regulations;
4. The Department considered all timely and relevant public comments in making its determination;
5. The Department has reviewed this proposed amendment in the light of the Regulatory Flexibility Act, and has determined that Johnson Controls does not qualify for the additional considerations that would be afforded to small business in such matters;
6. Promulgation of these proposed amendments would update Delaware’s requirements to be consistent with the federal requirements, thus bringing Delaware into compliance with EPA standards;
7. The minor non-substantive changes make to this regulation will correct clerical errors which were contained in the initial regulatory language, and provide better clarity and a fuller understanding of the regulatory language contained within this regulation to the general public and the regulated community;
8. The Department has an adequate record for its decision, and no further public hearing is appropriate or necessary;
9. The Department’s proposed regulation (with changes), as published in the July 1, 2008 Delaware Register of Regulations and set forth within Attachment “C” of the Hearing Office’s Memorandum attached hereto, is adequately supported, not arbitrary or capricious, and is consistent with the applicable laws and regulations. Consequently, it should be approved as a final regulation, which shall go into effect ten days after its publication in the next available issue of the Delaware Register of Regulations;
10. The Department shall submit the proposed regulation as a final regulation to the Delaware Register of Regulation for publication in its next available issue, and shall provide written notice to those affected by the Order.
III. Order:
Based on the record developed, as reviewed in the Hearing Officer’s Report dated September 5, 2008, and expressly incorporated herein, it is hereby ordered that the proposed adoption of Section 11.0, “Area Source Lead Acid Battery Manufacturing Standard” into existing Delaware Regulation 1138, Emission Standards for Hazardous Air Pollutants for Source Categories, be promulgated in final form in the customary manner and established rule-making procedure required by law.
IV. Reasons:
The promulgation of Section 11.0 into State of Delaware Regulation 1138 will bring Delaware into compliance with Federal standards by updating Delaware’s requirements, where appropriate, to be consistent with the same. Additionally, the minor non-substantive changes being made to this regulation will provide better clarity and a fuller understanding of the regulatory language contained within this regulation to the general public and the regulated community.
In developing this regulation, the Department has balanced the absolute environmental need for the State of Delaware to promulgate regulations concerning this matter with the important interests and public concerns surrounding the same, in furtherance of the policy and purposes of 7 Del.C., Ch. 60.
John A. Hughes, Secretary
1138 Emission Standards For Hazardous Air Pollutants For Source Categories
10/11/08
11.1 Applicability.
11.1.1 The provisions of 11.0 of this regulation apply to each lead acid battery manufacturing plant that is an area source of hazardous air pollutant emissions.
11.1.2 The provisions of 11.0 of this regulation apply to each new or existing affected source. The affected source is each lead acid battery manufacturing plant. The affected source includes all grid casting facilities, paste mixing facilities, three-process operation facilities, lead oxide manufacturing facilities, lead reclamation facilities, and any other lead-emitting operation that is associated with the lead acid battery manufacturing plant.
11.1.2.1 An affected source is existing if the owner or operator commenced construction or reconstruction of the affected source on or before April 4, 2007.
11.1.2.2 An affected source is new if the owner or operator commenced construction or reconstruction of the affected source after April 4, 2007.
11.1.3 The provisions of 11.0 of this regulation do not apply to research and development facilities, as defined in Section 112(c)(7) of the Clean Air Act as amended in 1990.
11.1.4 The owner or operator of an area source subject to 11.0 of this regulation is exempt from the obligation to obtain a Title V operating permit under 7 DE Admin. Code 1130 of State of Delaware “Regulations Governing the Control of Air Pollution”, if the owner or operator is not required to obtain a Title V operating permit under 3.1 of 7 DE Admin. Code 1130 for a reason other than the owner or operator’s status as an area source under 11.0. Notwithstanding the previous sentence, the owner or operator shall continue to comply with the provisions of 11.0.
11.2 Definitions.
Unless defined below, all terms in 11.0 of this regulation have the meaning given them in the Act or in 3.0 of this regulation.
“Grid casting facility” means the facility which includes all lead melting pots and machines used for casting the grid used in battery manufacturing.
“Lead acid battery manufacturing plant” means any plant that produces a storage battery using lead and lead compounds for the plates and sulfuric acid for the electrolyte.
“Lead oxide manufacturing facility” means the facility that produces lead oxide from lead, including product recovery.
“Lead reclamation facility” means the facility that remelts lead scrap and casts it into lead ingots for use in the battery manufacturing process, and which is not a furnace affected under 40 CFR Part 60 Subpart L (July 1, 2007 edition).
“Other lead-emitting operation” means any lead acid battery manufacturing plant operation from which lead emissions are collected and ducted to the atmosphere and which is not part of a grid casting, lead oxide manufacturing, lead reclamation, paste mixing, or three-process operation facility, or a furnace affected under 40 CFR Part 60 Subpart L (July 1, 2007 edition).
“Paste mixing facility” means the facility including lead oxide storage, conveying, weighing, metering, and charging operations; paste blending, handling, and cooling operations; and plate pasting, takeoff, cooling, and drying operations.
“Three-process operation facility” means the facility including those processes involved with plate stacking, burning, or strap casting, and assembly of elements into the battery case.
11.3 Compliance Dates.
11.3.1 The owner or operator of an existing affected source shall be in compliance with the applicable provisions of 11.0 of this regulation by no later than October 11, 2008.
11.3.2 The owner or operator of a new or reconstructed affected source that has an initial startup on or before July 16, 2007 shall be in compliance with the applicable provisions of 11.0 of this regulation no later than October 11, 2008.
11.3.3 The owner or operator of a new or reconstructed affected source that has an initial startup after July 16, 2007 shall be in compliance with the provisions of 11.0 of this regulation immediately upon startup or October 11, 2008, whichever is later.
11.4 Standards.
11.4.1 Emission and opacity limitations for existing affected sources. On and after October 11, 2008, the owner or operator of an existing affected source subject to the provisions of 11.0 of this regulation shall control emissions discharged to the atmosphere from the affected source by not allowing the concentration of lead in the exhaust gas stream or the opacity of the exhaust gas stream to exceed the lead emission and opacity limitations in 11.4.3.1 through 11.4.3.8 of this regulation.
11.4.2 Emission and opacity limitations for new or reconstructed affected sources. On and after the completion date of the performance test required under 11.5.1.1 of this regulation, the owner or operator of a new or reconstructed affected source subject to the provisions of 11.0 of this regulation shall control emissions discharged to the atmosphere from the affected source by not allowing the concentration of lead in the exhaust gas stream or the opacity of the exhaust gas stream to exceed the lead emission and opacity limitations in 11.4.3.1 through 11.4.3.8 of this regulation.
11.4.3 Emission and opacity limitations for affected sources.
11.4.3.1 From any grid casting facility, emissions shall not exceed 0.40 milligram of lead per dry standard cubic meter of exhaust gas (0.000175 gr/dscf).
11.4.3.2 From any paste mixing facility, emissions shall not exceed 1.00 milligram of lead per dry standard cubic meter of exhaust gas (0.000437 gr/dscf).
11.4.3.3 From any three-process operation facility, emissions shall not exceed 1.00 milligram of lead per dry standard cubic meter of exhaust gas (0.000437 gr/dscf).
11.4.3.4 From any lead oxide manufacturing facility, emissions shall not exceed 5.0 milligrams of lead per kilogram of lead feed (0.010 lb/ton).
11.4.3.5 From any lead reclamation facility, emissions shall not exceed 4.50 milligrams of lead per dry standard cubic meter of exhaust gas (0.00197 gr/dscf).
11.4.3.6 From any other lead-emitting operation, emissions shall not exceed 1.00 milligram of lead per dry standard cubic meter of exhaust gas (0.000437 gr/dscf).
11.4.3.7 From any emission source other than a lead reclamation facility, emissions shall not exceed 0% opacity (measured according to Method 9 in Appendix A of 40 CFR Part 60 and rounded to the nearest whole percentage).
11.4.3.8 From any lead reclamation facility, emissions shall not exceed 5% opacity (measured according to Method 9 in Appendix A of 40 CFR Part 60 and rounded to the nearest whole percentage).
11.4.4 When two or more gas streams at the affected source (except the lead oxide manufacturing facility) are ducted to a common control device, an equivalent emission limitation, ELe, for the total exhaust gas stream shall be determined using equation 11-1:
(11-1)
where:
ELe = the equivalent emission limitation for the total exhaust gas stream, mg/dscm (gr/dscf).
n = the total number of gas streams ducted to the control device.
ELa = the actual emission limitation for each gas stream, a, ducted to the control device, mg/dscm (gr/dscf).
Qsda = the dry standard volumetric flow rate of each gas stream, a, ducted to the control device, dscm/hr (dscf/hr).
QsdT = the total dry standard volumetric flow rate of all gas streams ducted to the control device, dscm/hr (dscf/hr).
11.4.5 The owner or operator of an affected source subject to 11.0 of this regulation shall develop and implement a written startup, shutdown, and malfunction plan that describes, in detail, procedures for operating and maintaining the affected source during periods of startup, shutdown, and malfunction and a program of corrective actions for malfunctioning process, control devices, and monitoring equipment used to comply with 11.0. At a minimum, this plan shall include the following:
11.4.5.1 The specifications for each control device including minimum and maximum differential pressure drop readings that define the proper operating ranges.
11.4.5.2 The monitoring frequency for each control device.
11.4.5.3 The scheduled dates for performing the quarterly inspections on each control device.
11.4.5.4 The routine maintenance schedule and procedures for each control device developed in accordance with the manufacturer’s recommendations.
11.4.5.5 The operational plan that describes, in detail, a program of corrective actions to be taken when monitoring results are outside proper operating ranges.
11.4.5.6 The required recordkeeping requirements associated with the startup, shutdown, and malfunction plan.
11.4.5.7 The schedule for review and update of the startup, shutdown, and malfunction plan.
11.5 Performance testing requirements.
11.5.1 Initial compliance demonstration.
11.5.1.1 Except as provided in 11.5.1.2 of this regulation, the owner or operator of an affected source subject to the provisions of 11.0 of this regulation shall conduct a performance test to demonstrate initial compliance with the emission and opacity limitations in 11.4.3 and 11.4.4 of this regulation as required in 3.7 of this regulation using the procedures and test methods provided in 3.7 and 11.7 of this regulation.
11.5.1.2 Existing sources are not required to conduct an initial performance test if a prior performance test was conducted using the same procedures and test methods specified in 3.7 and 11.7 of this regulation and either no process changes have been made since the test, or the owner or operator can demonstrate that the results of the previous performance test, with or without adjustments, reliably demonstrate compliance with 11.0 of this regulation despite process changes.
11.5.2 Ongoing performance test requirements.
11.5.2.1 The owner or operator of an affected source subject to the provisions of 11.0 of this regulation shall conduct additional performance tests to demonstrate ongoing compliance with the emission and opacity limitations in 11.4.3 and 11.4.4 of this regulation using the procedures and test methods listed in 3.7 and 11.7 of this regulation.
11.5.2.2 Frequency of ongoing performance test. Beginning on a date six (6) years after the initial compliance date and every six (6) years thereafter, the owner or operator shall conduct the performance tests required in 11.5.2.1 of this regulation on at least 50% of the exhaust gas streams subject to the emission and opacity limitations in 11.4.3 and 11.4.4 of this regulation. The selection of exhaust gas streams shall ensure that all exhaust gas streams are performance tested at least once in every 12-year period.
11.6 Monitoring requirements.
11.6.1 The owner or operator of each affected source subject to the provisions of 11.0 of this regulation shall be in compliance with the monitoring requirements in 11.6.2 and 11.6.3 of this regulation.
11.6.2 For any exhaust gas stream controlled by a scrubbing system, the owner or operator shall install, calibrate, maintain, and operate a monitoring device that measures and records the differential pressure drop across each scrubbing system at least once every 15 minutes. The monitoring device shall have an accuracy of ±5% over its operating range.
11.6.3 For any exhaust gas stream controlled by a fabric filter, the owner or operator shall be in compliance with the requirements in 11.6.3.1 through 11.6.3.3 of this regulation. Fabric filters equipped with a high efficiency particulate air (HEPA) filter or other secondary filter are allowed to monitor less frequently, as specified in 11.6.3.4 of this regulation.
11.6.3.1 The owner or operator shall perform quarterly inspections and maintenance to ensure proper performance of each fabric filter. This quarterly inspection includes inspection for structural and filter integrity. The owner or operator shall record the results of these inspections and any maintenance performed.
11.6.3.2 The owner or operator shall install, maintain, and operate a pressure drop monitoring device to measure the differential pressure drop across the fabric filter during all times that the process is operating. Except as provided in [11.6.4 11.6.3.4] of this regulation, the differential pressure drop shall be recorded at least once per day. If a pressure drop is observed outside of the normal operating ranges, the owner or operator shall take immediate corrective action. The owner or operator shall also record the incident and the corrective actions taken. The owner or operator shall submit a monitoring system performance report in accordance with 3.10.5.3 of this regulation.
11.6.3.3 The owner or operator shall conduct a visible emissions observation at least once per week to verify that no visible emissions are occurring at the discharge point to the atmosphere from any exhaust gas stream subject to the requirements in 11.4 of this regulation. If visible emissions are detected, the owner or operator shall record the incident and conduct an opacity measurement in accordance with 11.7.4 of this regulation. The owner or operator shall record the results of each opacity measurement. If the measurement exceeds the applicable opacity standard in 11.4.3.7 or 11.4.3.8 of this regulation, the owner or operator shall submit this information in an excess emissions report required under 3.10.5.3 of this regulation.
11.6.3.4 If the fabric filters are equipped with a HEPA filter or other secondary filter, the owner or operator shall record the differential pressure drop at least once per week. If a pressure drop is observed outside of the normal operating ranges, the owner or operator shall take immediate corrective action. The owner or operator shall also record the incident and the corrective actions taken. The owner or operator shall submit a monitoring system performance report in accordance with 3.10.5.3 of this regulation.
11.7 Test methods and procedures.
11.7.1 In conducting the performance tests required in 11.5 of this regulation, the owner or operator shall use, as reference methods and procedures, the test methods in Appendix A of 40 CFR Part 60 or other methods and procedures as specified in 11.7 of this regulation, except as provided in 3.7.5.2 of this regulation.
11.7.2 The owner or operator shall determine compliance with the lead emission limitations in 11.4.3.1 through 11.4.3.6 of this regulation, except 11.4.3.4 of this regulation, as follows:
11.7.2.1 Method 12 in Appendix A of 40 CFR Part 60 shall be used to determine the lead emission rate and, if applicable, the volumetric flow rate for each exhaust gas stream. The sampling time and sample volume for each run shall be at least 60 minutes and 0.85 dscm (30 dscf).
11.7.2.2 When different operations in a three-process operation facility are ducted to separate control devices, the lead emission rate (Etp) from the three-process operation facility shall be determined using equation 11-2:
(11-2)
where:
Etp = lead emission rate from the three-process operation facility, mg/dscm (gr/dscf).
n = total number of control devices to which different operations in the three-process operation facility are ducted.
Ca = concentration of lead emissions in the exhaust gas stream from each control device, a, mg/dscm (gr/dscf).
Qa = volumetric flow rate of exhaust gas stream from each control device, a, dscm/hr (dscf/hr).
11.7.3 The owner or operator shall determine compliance with the lead emission limitation in 11.4.3.4 of this regulation as follows:
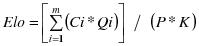
11.7.3.1 The lead emission rate (Elo) from a lead oxide manufacturing facility shall be determined for each run using equation 11-3:
(11-3)
where:
Elo = lead emission rate from the lead oxide manufacturing facility, mg/kg (lb/ton) of lead charged.
m = total number of exhaust gas streams in the lead oxide manufacturing facility.
Ci = concentration of lead from each exhaust gas stream, i, mg/dscm (gr/dscf).
Q1 = volumetric flow rate of each exhaust gas stream, i, dscm/hr (dscf/hr).
P = average lead feed rate to the lead oxide manufacturing facility, kg/hr (ton/hr).
K = conversion factor, 1.0 mg/mg (7000 gr/lb).
11.7.3.2 Method 12 in Appendix A of 40 CFR Part 60 shall be used to determine the lead concentration and the volumetric flow rate for each exhaust gas stream in the lead oxide manufacturing facility. The sampling time and sample volume for each run shall be at least 60 minutes and 0.85 dscm (30 dscf).
11.7.3.3 The average lead feed rate (P) in equation 11-3 shall be determined for each run using equation 11-4:
P = (N * W) / T (11-4)
where:
P = average lead feed rate to the lead oxide manufacturing facility, kg/hr (ton/hr).
N = number of lead pigs (ingots) charged.
W = average mass of a pig (ingot), kg (ton).
T = duration of run, hr.
11.7.4 Method 9 in Appendix A of 40 CFR Part 60 shall be used to determine compliance with opacity limitations in 11.4.3.7 and 11.4.3.8 of this regulation. The opacity numbers shall be rounded off to the nearest whole percentage.
11.8 Recordkeeping requirements.
11.8.1 The owner or operator of each affected source subject to 11.0 of this regulation shall fulfill all recordkeeping requirements outlined in 3.0 and 11.8 of this regulation, according to the applicability of 3.0 of this regulation as identified in Table 11-1 of this regulation.
11.8.2 At a minimum, the owner or operator of an affected source subject to the provisions of 11.0 of this regulation shall maintain the following records for such source:
11.8.2.1 Inspection records for the control devices and monitoring equipment, to document that the inspection and maintenance required by the startup, shutdown, and malfunction plan in 11.4.5 of this regulation and by 11.6.3.1 of this regulation have taken place. The record can take the form of a checklist and should identify the control device and monitoring equipment inspected, the date of inspection, a brief description of the working condition of the control device during the inspection, and any actions taken to correct deficiencies found during the inspection.
11.8.2.2 Records of all maintenance performed on the affected source, the control devices, and monitoring equipment.
11.8.2.3 Records of the occurrence, duration, and cause (if known) of each malfunction of process, control devices, or monitoring equipment.
11.8.2.4 Records of actions taken during periods of malfunction when such actions are inconsistent with the startup, shutdown, and malfunction plan.
11.8.2.5 Other records, which may take the form of checklists, necessary to demonstrate conformance with the provisions of the startup, shutdown, and malfunction plan in 11.4.5 of this regulation.
11.8.2.6 Test reports documenting results of all performance tests.
11.8.2.7 All measurements as may be necessary to determine the conditions of performance tests, including measurements necessary to determine compliance with the equivalent emission limitation in 11.4.4 of this regulation.
11.8.2.8 Records of monitoring data required in 11.6 of this regulation that are used to demonstrate ongoing compliance including the date and time the data are collected.
11.8.2.9 The specific identification (i.e., the date and time of commencement and completion) of each period of excess emissions, as indicated by monitoring data, that occurs during malfunction of the process, control devices, or monitoring equipment.
11.8.2.10 The specific identification (i.e., the date and time of commencement and completion) of each period of excess emissions, as indicated by monitoring data, that occurs during periods other than malfunction of the process, control devices, or monitoring equipment.
11.8.2.11 All other startup, shutdown, and malfunction plan information required in 11.4.5.6 of this regulation.
11.8.2.12 All documentation supporting the notifications and reports required in 11.9 of this regulation and in 3.9 and 3.10 of this regulation.
11.8.3 All records shall be maintained for a period of at least five years in accordance with 3.10.2.1 of this regulation.
11.9 Notification and reporting requirements.
11.9.1 The owner or operator of each affected source subject to 11.0 of this regulation shall fulfill all notification and reporting requirements outlined in 3.0 and 11.9 of this regulation, according to the applicability of 3.0 of this regulation, as identified in Table 11-1 of this regulation. These reports shall be submitted to the Administrator and to the Department, in accordance with 3.10.1.4.2 of this regulation.
11.9.2 At a minimum, the owner or operator of an affected source subject to 11.0 of this regulation shall submit to the Department in writing the following notifications and reports.
11.9.2.1 For [existing] affected sources [that have an initial startup before July 16, 2007], the initial notification required by 3.9.2 of this regulation shall be submitted no later than October 11, 2008.
11.9.2.2 For [new or reconstructed] affected sources [that have an initial startup before July 16, 2007], the initial notification shall be submitted in accordance with [3.9.2.2] 3.9.2.4 or 3.9.2.5 of this regulation, whichever is applicable.
11.9.2.3 For affected sources required to conduct a performance test by 11.5 of this regulation, the notification of compliance status required by 3.9.8 of this regulation shall be submitted no later than [90 60] calendar days following completion of the compliance demonstration required in 11.5.
11.9.2.4 For affected sources not required to conduct an initial performance test by 11.5 of this regulation, the notification of compliance status required by 3.9.8 of this regulation shall be submitted no later than March 13, 2009.
11.9.2.5 For affected sources required to conduct an initial performance test by 11.5 of this regulation, the notification of compliance status [s]hall be submitted in accordance with 3.9.8 of this regulation.
11.9.2.6 The notification of a performance test shall be submitted in accordance with 3.9.5 of this regulation.
11.9.2.7 The notification of opacity and visible emission observations shall be submitted in accordance with 3.9.6 of this regulation.
11.9.2.8 The results of performance tests shall be reported in accordance with 3.10.4.2 of this regulation.
11.9.2.9 The results of opacity or visible emission observations performance tests shall be reported along with the results of the performance tests in accordance with 3.10.4.3 of this regulation.
11.9.2.10 The startup, shutdown, and malfunction reports shall be submitted in accordance with 3.10.4.5 of this regulation.
11.9.2.11 The excess emissions and continuous monitoring system performance report and summary report shall be submitted in accordance with 3.10.5 of this regulation.
11.10 Applicability of general provisions.
The owner or operator of an affected sources subject to the provisions of 11.0 of this regulation shall also be in compliance with the provisions in 3.0 of this regulation, that are applicable to 11.0 as specified in Table 11-1 of this regulation.
11.11 [Equivalent methods of control Additional compliance requirements].
[Upon written application, the Department may approve the use of control technologies, other than scrubbers and fabric filters, after the owner or operator has satisfactorily demonstrated the alternative control technology is equivalent in terms of reducing emissions of lead to the atmosphere in accordance with 11.4.1 through 11.4.4 of this regulation. The application shall contain a complete description of the equipment and the proposed testing procedures to initially demonstrate equivalency. The application shall also include the operating, maintenance, monitoring, recordkeeping and reporting procedures required to demonstrate ongoing equivalency.
11.11.1 If the owner or operator of an affected source subject to 11.0 of this regulation elects to use a control technology other than scrubbers or fabric filters to comply with the requirements of 11.4 of this regulation, the owner or operator shall:
11.11.1.1 Submit to the Department a startup, shutdown and malfunction plan consistent with the requirements of 11.4.5 of this regulation.
11.11.1.2 Submit to the Department, consistent with the requirements of 11.5.1, the following, whichever is applicable.
11.11.1.2.1 The proposed performance testing procedures and protocols necessary to demonstrate compliance with the requirements of 11.4.1 through 11.4.4 of this regulation or
11.11.1.2.2 The results of the latest performance test demonstrating compliance with the requirements of 11.4.1 through 11.4.4 of this regulation.
11.11.1.3 Submit to the Department an application under 7 DE Admin. Code 1102 of State of Delaware "Regulations Governing the Control of Air Pollution" that proposes monitoring, recordkeeping and reporting requirements needed to demonstrate ongoing compliance with the provisions of 11.0 of this regulation.
11.11.2 The operation of the control technology shall be made federally enforceable in a permit issued pursuant to 7 DE Admin. Code 1102 of State of Delaware "Regulations Governing the Control of Air Pollution".]
11.12 [Reserved]
Table 11-1 – Applicability of 3.0 to 11.0 of this Regulation
General | ||
Provisions | Applies to | |
Reference | 11.0 | Comments |
3.1.1.1 | Yes | Additional terms defined in 11.2 of this regulation; when overlap between 3.0 and 11.0 of this regulation occurs, 11.0 takes precedence. |
3.1.1.2-3.1.1.3 | Yes | |
3.1.1.4 | Yes | 11.0 of this regulation clarifies the applicability of each paragraph in 3.0 of this regulation to sources subject to 11.0. |
3.1.1.5 | No | |
3.1.1.6 | Yes | |
3.1.1.7-3.1.1.9 | No | |
3.1.1.10-3.1.1.12 | Yes | |
3.1.1.13-3.1.1.14 | No | |
3.1.2.1 | Yes | |
3.1.2.2 | Yes | |
3.1.2.3 | Yes | |
3.1.3.1 | Yes | 11.0 of this regulation clarifies the applicability of each paragraph in 3.0 of this regulation to sources subject to 11.0. |
3.1.3.2 | Yes | 11.1.4 of this regulation exempts area sources from the obligation to obtain Title V operating permits. |
3.1.3.3 | No | |
3.1.3.4 | No | |
3.1.3.5 | Yes | |
3.1.4 | No | |
3.1.5 | Yes | |
3.2 | Yes | Additional terms defined in 11.2 of this regulation; when overlap between 3.0 and 11.0 of this regulation occurs, 11.0 takes precedence. |
3.3 | Yes | |
3.4.1.1-3.4.1.2 | Yes | |
3.4.1.3-3.4.1.5 | No | |
3.4.2-3.4.2.2 | Yes | |
3.4.2.3 | No | |
3.4.3 | Yes | |
3.5.1 | Yes | |
3.5.2.1 | Yes | |
3.5.2.2 | No | |
3.5.2.3-3.5.2.4 | Yes | |
3.5.2.5 | No | |
3.5.2.6 | Yes | |
3.5.3 | No | |
3.5.4.1.1-3.5.4.1.2.8 | Yes | |
3.5.4.1.2.9 | No | |
3.5.4.1.2.10 | Yes | |
3.5.4.1.3 | Yes | |
3.5.4.2-3.5.4.4 | Yes | |
3.5.5 | Yes | |
3.5.6-3.5.6.1.1 | Yes | |
3.5.6.1.2-3.5.6.1.4 | No | |
3.5.6.2 | Yes | |
3.6.1 | Yes | |
3.6.2-3.6.2.5 | Yes | |
3.6.2.6 | No | |
3.6.2.7 | Yes | |
3.6.3.1-3.6.3.2 | Yes | |
3.6.3.3-3.6.3.4 | No | |
3.6.3.5 | Yes | |
3.6.4 | No | |
3.6.5-3.6.5.1 | Yes | |
3.6.5.2 | No | |
3.6.5.3 | Yes | Except that 11.4.5 specifies the minimum that the startup, shutdown, and malfunction plan shall contain. |
3.6.6 | Yes | |
3.6.7 | Yes | |
3.6.8-3.6.8.2.1 | Yes | |
3.6.8.2.2 | No | |
3.6.8.2.3-3.6.8.2.3.4 | Yes | |
3.6.8.3 | No | |
3.6.8.4-3.6.8.5.3 | Yes | |
3.6.8.5.4 | No | |
3.6.8.5.5-3.6.8.9.4 | Yes | |
3.6.9-3.6.9.5 | Yes | |
3.6.9.6.1.1-3.6.9.6.1.2.1 | Yes | |
3.6.9.6.1.2.2 | No | |
3.6.9.6.1.2.3-3.6.9.6.1.2.4 | Yes | |
3.6.9.6.1.3-3.6.9.6.1.4 | No | |
3.6.9.6.2-3.6.9.7 | Yes | |
3.6.9.8 | Yes | |
3.6.9.9 | Yes | |
3.6.9.10.1-3.6.9.10.4 | Yes | |
3.6.9.10.5.1 | Yes | |
3.6.9.10.5.2-3.6.9.14 | Yes | |
3.6.9.15 | No | |
3.6.9.16 | Yes | |
3.6.10 | Yes | |
3.7.1.1 | Yes | |
3.7.1.2-3.7.1.2.8 | No | |
3.7.1.3 | Yes | |
3.7.2.1-3.7.2.2 | Yes | |
3.7.3 | [No Yes] | |
3.7.4 | Yes | |
3.7.5-3.7.7.1 | Yes | |
3.7.7.2 | No | |
3.7.7.3-3.7.8.5 | Yes | |
3.8.1.1-3.8.1.2 | Yes | |
3.8.1.3 | No | |
3.8.1.4-3.8.7 | Yes | |
3.9.1-3.9.1.3 | Yes | |
3.9.1.4.1 | No | |
3.9.1.4.2-3.9.2.2.4 | Yes | |
3.9.2.2.5 | No | |
3.9.2.3 | No | |
3.9.2.4-3.9.2.4.1 | Yes | |
3.9.2.4.2-3.9.2.4.4 | No | |
3.9.2.4.5-3.9.8.3 | Yes | |
3.9.8.4 | No | |
3.9.8.5-3.9.10 | Yes | |
3.10.1-3.10.1.3 | Yes | |
3.10.1.4.1 | No | |
3.10.1.4.2-3.10.3.1 | Yes | |
3.10.3.2-3.10.3.4 | No | |
3.10.3.5-3.10.3.8 | Yes | |
3.10.3.9 | No | |
3.10.3.10-3.10.4.4 | Yes | |
3.10.4.5 | Yes | |
3.10.5-3.10.5.3.1.2 | Yes | |
3.10.5.3.1.3 | No | |
3.10.5.3.2-3.10.6.6 | Yes | |
3.11 | No | 11.0 of this regulation does not require flares. |
3.12-3.15 | Yes |




